Dễ hiểu giải Toán 11 cánh diều bài tập cuối chương VIII
Giải dễ hiểu bài tập cuối chương VIII. Trình bày rất dễ hiểu, nên tiếp thu Toán 11 Cánh diều dễ dàng. Học sinh nắm được kiến thức và biết suy rộng ra các bài tương tự. Thêm 1 dạng giải mới để mở rộng tư duy. Danh mục các bài giải trình bày phía dưới
Nếu chưa hiểu - hãy xem: => Lời giải chi tiết ở đây
ÔN TẬP CHƯƠNG VIII
PHẦN TRẮC NGHIỆM
Bài 1. Cho hình lập phương MNPQ.M’N’P’Q’ có cạnh bằng a.
a) Góc giữa hai đường thẳng MN và M’P’ bằng:
A. 30°;
B. 45°;
C. 60°;
D. 90°.
b) Gọi α là số đo góc giữa đường thẳng M’P và mặt phẳng (MNPQ). Giá trị tanα bằng:
A. 1;
B. 2;
C. √2;
D.
.
c) Số đo của góc nhị diện [N, MM’, P] bằng:
A. 30°;
B. 45°;
C. 60°;
D. 90°.
d) Khoảng cách từ điểm M đến mặt phẳng (NQQ’N’) bằng:
A. a;
B.
;
C. a√2;
D.
.
Giải nhanh:
a) Đáp án đúng là: B
b) Đáp án đúng là: D
c) Đáp án đúng là: B
d) Đáp án đúng là: B
Bài 2. Cho hình hộp chữ nhật MNPQ.M’N’P’Q’ có MN = 2a, MQ = 3a, MM’ = 4a. Khoảng cách giữa hai đường thẳng NP và M’N’ bằng:
A. 2a;
B. 3a;
C. 4a;
D. 5a.
Giải nhanh:
C. 4a
Bài 3. Cho khối lăng trụ có diện tích đáy bằng a2 và chiều cao bằng 3a. Thể tích của khối lăng trụ đó bằng:
A.
;
B.
;
C.
;
D. ![]()
Giải nhanh:
B. ![]()
Bài 4. Cho khối chóp có diện tích đáy là a2 và chiều cao là 3a. Thể tích của khối chóp bằng:
A.
;
B.
;
C.
;
D. ![]()
Giải nhanh:
A. ![]()
Bài 5. Cho tứ diện OABC thỏa mãn OA = a, OB = b, OC = c,
.Thể tích của khối tứ diện OABC bằng:
A. abc;
B.
;
C.
;
D.
.
Giải nhanh:
D. ![]()
PHẦN TỰ LUẬN
Bài 6. Cho hình chóp S.ABC có SA ⊥ (ABC), AC ⊥ BC, SA = BC =
, AC = a (Hình 99).
a) Tính góc giữa hai đường thẳng SA và BC.
b) Tính góc giữa đường thẳng SC và mặt phẳng (ABC).
c) Tính số đo của góc nhị diện [B, SA, C].
d) Tính khoảng cách từ B đến mặt phẳng (SAC).
e) Tính khoảng cách giữa hai đường thẳng SA và BC.
g) Tính thể tích của khối chóp S.ABC.
Giải nhanh:
a) Góc giữa hai đường thẳng
và
bằng 90°.
b)
.
c) Số đo của góc nhị diện
bằng ![]()
d)
.
e)
.
g) ![]()
Bài 7. Cho hình lăng trụ tam giác đều ABC.A’B’C’ có tất cả các cạnh bằng a. Gọi M là trung điểm của AB (Hình 100).
a) Tính góc giữa hai đường thẳng AB và B’C’.
b) Tính góc giữa đường thẳng A’B và mặt phẳng (ABC).
c) Tính số đo của góc nhị diện [B, CC’, M].
d) Chứng minh rằng CC’ // (ABB’A’). Tính khoảng cách giữa đường thẳng CC’ và mặt phẳng (ABB’A’).
e) Chứng minh rằng CM ⊥ (ABB’A’). Tính khoảng cách giữa hai đường thẳng CC’ và A’M.
g) Tính thể tích của khối lăng trụ tam giác đều ABC.A’B’C’ và thể tích khối chóp A’.MBC.
Giải nhanh:
a) Góc giữa hai đường thẳng
và
bằng
.
b) ![]()
c) Do
![]()
Do đó
là góc phẳng nhị diện của góc nhị diện ![]()
Xét tam giác
đều có:
là đường trung tuyến đồng thời là đường phân giác.
.
Vậy số đo của góc nhị diện
bằng
.
d) Ta có:
.
Mà
nên
.
Khi đó ![]()
Có
và
.
Vì tam giác
đều có
là đường trung tuyến
.
.
Khi đó ![]()
Xét
ABC đều nên
.
Vậy
.
e) Ta có ![]()
Mà
nên
.
Có
và
.
Khi đó
.
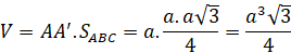
g) Thể tích của lăng trụ là:
![]()
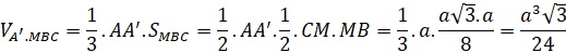
Thể tích của khối chóp A’.MBC là:
![]()
Bài 8. Đền Kukulcan (Hình 101) là một kim tự tháp Trung Mỹ nằm ở khu di tích Chichen Itza, Mexico, được người Maya xây vào khoảng từ thế kỉ IX đến thế kỉ XII. Phần thân của đền, không bao gồm ngôi đền nằm phía trên, có dạng một khối chóp cụt tứ giác đều (không tính cầu thang và coi các mặt bên là phẳng) với độ dài đáy dưới là 55,3 m, chiều cao là 24 m, góc giữa cạnh bên và mặt phẳng đáy là khoảng 47°.
(Nguồn: https://vi.wikipedia.org)
Giải nhanh:
Mô tả phần thân của đền Kukulcan trong bài toán bằng khối chóp cụt tứ giác đều
, với
và
lần lượt là tâm của hai đáy
và
.


Ta có: ![]()
Ta có: ABCD là hình vuông
.
Kẻ
.
Ta có:
là hình chiếu của
trên
.
.
Xét
vuông tại H, có:
.
Vì
là hình chữ nhật
![]()
.
Vì
là hình vuông
.
Diện tích đáy lớn là:
.
Diện tích đáy bé là:
.
Thể tích của hình chóp cụt là:

.
Nếu chưa hiểu - hãy xem: => Lời giải chi tiết ở đây
Nội dung quan tâm khác
Thêm kiến thức môn học
Giải bài tập những môn khác
Giải sgk lớp 11 KNTT
Giải sgk lớp 11 CTST
Giải sgk lớp 11 cánh diều
Giải SBT lớp 11 kết nối tri thức
Giải SBT lớp 11 chân trời sáng tạo
Giải SBT lớp 11 cánh diều
Giải chuyên đề học tập lớp 11 kết nối tri thức
Giải chuyên đề toán 11 kết nối tri thức
Giải chuyên đề ngữ văn 11 kết nối tri thức
Giải chuyên đề vật lí 11 kết nối tri thức
Giải chuyên đề hóa học 11 kết nối tri thức
Giải chuyên đề sinh học 11 kết nối tri thức
Giải chuyên đề kinh tế pháp luật 11 kết nối tri thức
Giải chuyên đề lịch sử 11 kết nối tri thức
Giải chuyên đề địa lí 11 kết nối tri thức
Giải chuyên đề mĩ thuật 11 kết nối tri thức
Giải chuyên đề âm nhạc 11 kết nối tri thức
Giải chuyên đề công nghệ chăn nuôi 11 kết nối tri thức
Giải chuyên đề công nghệ cơ khí 11 kết nối tri thức
Giải chuyên đề tin học 11 định hướng Khoa học máy tính kết nối tri thức
Giải chuyên đề tin học 11 định hướng Tin học ứng dụng kết nối tri thức
Giải chuyên đề quốc phòng an ninh 11 kết nối tri thức
Giải chuyên đề hoạt động trải nghiệm hướng nghiệp 11 kết nối tri thức
Giải chuyên đề học tập lớp 11 chân trời sáng tạo
Giải chuyên đề học tập lớp 11 cánh diều
Trắc nghiệm 11 Kết nối tri thức
Trắc nghiệm 11 Chân trời sáng tạo
Trắc nghiệm 11 Cánh diều
Bộ đề thi, đề kiểm tra lớp 11 kết nối tri thức
Đề thi Toán 11 Kết nối tri thức
Đề thi ngữ văn 11 Kết nối tri thức
Đề thi vật lí 11 Kết nối tri thức
Đề thi sinh học 11 Kết nối tri thức
Đề thi hóa học 11 Kết nối tri thức
Đề thi lịch sử 11 Kết nối tri thức
Đề thi địa lí 11 Kết nối tri thức
Đề thi kinh tế pháp luật 11 Kết nối tri thức
Đề thi công nghệ cơ khí 11 Kết nối tri thức
Đề thi công nghệ chăn nuôi 11 Kết nối tri thức
Đề thi tin học ứng dụng 11 Kết nối tri thức
Đề thi khoa học máy tính 11 Kết nối tri thức
Bộ đề thi, đề kiểm tra lớp 11 chân trời sáng tạo
Bộ đề thi, đề kiểm tra lớp 11 cánh diều
Đề thi Toán 11 Cánh diều
Đề thi ngữ văn 11 Cánh diều
Đề thi vật lí 11 Cánh diều
Đề thi sinh học 11 Cánh diều
Đề thi hóa học 11 Cánh diều
Đề thi lịch sử 11 Cánh diều
Đề thi địa lí 11 Cánh diều
Đề thi kinh tế pháp luật 11 Cánh diều
Đề thi công nghệ cơ khí 11 Cánh diều
Đề thi công nghệ chăn nuôi 11 Cánh diều
Đề thi tin học ứng dụng 11 Cánh diều
Đề thi khoa học máy tính 11 Cánh diều
Bình luận