Siêu nhanh giải bài tập cuối chương V toán 12 Chân trời sáng tạo tập 2
Giải siêu nhanh bài tập cuối chương V toán 12 Chân trời sáng tạo tập 2. Giải siêu nhanh toán 12 Chân trời sáng tạo tập 2. Những phần nào có thể rút gọn, lược bỏ và tóm gọn. Đều được áp dụng vào bài giải này. Thêm cách giải mới để học sinh lựa chọn. Để tìm ra phong cách học toán 12 Chân trời sáng tạo tập 2 phù hợp với mình.
Nếu chưa hiểu - hãy xem: => Lời giải chi tiết ở đây
BÀI TẬP CUỐI CHƯƠNG V
CÂU HỎI TRẮC NGHIỆM
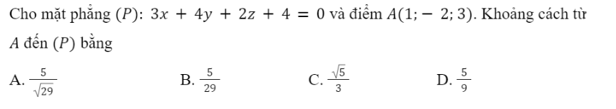
Câu 1:

Giải rút gọn:
D.
Câu 2:
Phương trình nào dưới đây là phương trình của mặt phẳng (Oyz)?
A. y = 0 B. x = 0
C. y - z = 0 D. z = 0
Giải rút gọn:
B.

Câu 3:

Giải rút gọn:
C.

Câu 4:

Giải rút gọn:
A.

Câu 5:

Giải rút gọn:
C.

Câu 6:

Giải rút gọn:
C.
Câu 7:

Giải rút gọn:
B.
Câu 8:

Giải rút gọn:
A.


Câu 9:

Giải rút gọn:
A.

Câu 10:

Giải rút gọn:
A.
Câu 11:


Giải rút gọn:
C.

BÀI TẬP TỰ LUẬN
Bài 12:
Cho bốn điểm A(1;0;0), B(0;1;0), C(0;0;1), D(-2;1;-1).
a) Chứng minh A, B, C, D là bốn đỉnh của một hình chóp.
b) Tìm góc giữa hai đường thẳng AB và CD.
c) Tính độ dài đường cao của hình chóp A.BCD.
Giải rút gọn:


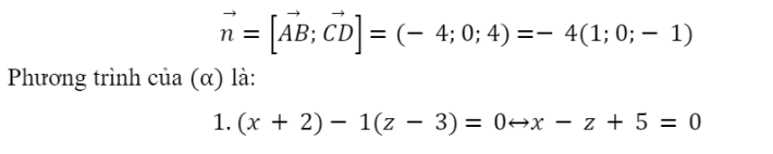
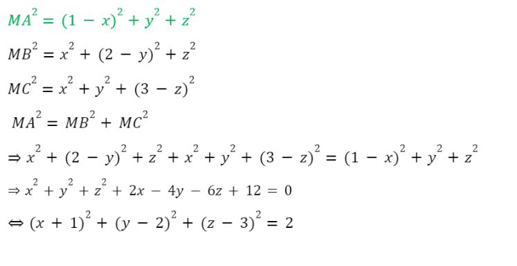
Bài 13:
Cho bốn điểm A(–2;6;3), B(1;0;6), C(0;2;-1), D(1;4;0).
a) Viết phương trình mặt phẳng (BCD). Suy ra ABCD là một tứ diện.
b) Tính chiều cao AH của tứ diện ABCD.
c) Viết phương trình mặt phẳng (a) chứa AB và song song với CD.
Giải rút gọn:



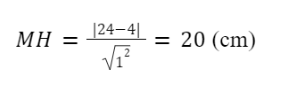
Bài 14:
Phần mềm điều khiển máy in 3D cho biết đầu in phun của máy đang đặt tại điểm
M(3;4;24) (đơn vị: cm). Tính khoảng cách từ đầu in đến khay đặt vật in có phương trình z - 4 = 0.
Giải rút gọn:

Bài 15:
Cho hai mặt phẳng (P): x - y - 6 = 0 và (Q). Biết rằng điểm H(2;-1;-2) là hình chiếu vuông góc của gốc toạ độ O(0;0;0) xuống mặt phẳng (Q). Tính góc giữa mặt phẳng (P) và mặt phẳng (Q).
Giải rút gọn:


Bài 16:
Phần mềm của máy tiện kỹ thuật số CNC (Computer Numerical Control) đang biểu diễn một chi tiết máy như Hình 2.
a) Tìm toạ độ các điểm A, B, C, D.
b) Viết phương trình mặt phẳng (ABC) và mặt phẳng (ACD).
c) Viết phương trình tham số của đường thẳng AC.
d) Cho biết đầu mũi tiện đang đặt tại điểm M(0;60;40). Tính khoảng cách từ M đến mặt phẳng (ABC).
Giải rút gọn:


Bài 17:
Cho hình hộp chữ nhật OABC.O'A'B'C', với O là gốc toạ độ, A(2;0;0), C(0;6;0), O'(0;0;4). Viết phương trình:
a) Mặt phẳng (O'AC);
b) Đường thẳng CO';
c) Mặt cầu đi qua các đỉnh của hình hộp.
Giải rút gọn:


Bài 18:

Giải rút gọn:

Nếu chưa hiểu - hãy xem: => Lời giải chi tiết ở đây
Nội dung quan tâm khác
Thêm kiến thức môn học
Giải toán 12 Chân trời sáng tạo tập 2 bài tập cuối chương V, Giải bài tập cuối chương V toán 12 Chân trời sáng tạo tập 2, Siêu nhanh giải bài tập cuối chương V toán 12 Chân trời sáng tạo tập 2
Giải bài tập những môn khác
Môn học lớp 12 KNTT
5 phút giải toán 12 KNTT
5 phút soạn bài văn 12 KNTT
Văn mẫu 12 KNTT
5 phút giải vật lí 12 KNTT
5 phút giải hoá học 12 KNTT
5 phút giải sinh học 12 KNTT
5 phút giải KTPL 12 KNTT
5 phút giải lịch sử 12 KNTT
5 phút giải địa lí 12 KNTT
5 phút giải CN lâm nghiệp 12 KNTT
5 phút giải CN điện - điện tử 12 KNTT
5 phút giải THUD12 KNTT
5 phút giải KHMT12 KNTT
5 phút giải HĐTN 12 KNTT
5 phút giải ANQP 12 KNTT
Môn học lớp 12 CTST
5 phút giải toán 12 CTST
5 phút soạn bài văn 12 CTST
Văn mẫu 12 CTST
5 phút giải vật lí 12 CTST
5 phút giải hoá học 12 CTST
5 phút giải sinh học 12 CTST
5 phút giải KTPL 12 CTST
5 phút giải lịch sử 12 CTST
5 phút giải địa lí 12 CTST
5 phút giải THUD 12 CTST
5 phút giải KHMT 12 CTST
5 phút giải HĐTN 12 bản 1 CTST
5 phút giải HĐTN 12 bản 2 CTST
Môn học lớp 12 cánh diều
5 phút giải toán 12 CD
5 phút soạn bài văn 12 CD
Văn mẫu 12 CD
5 phút giải vật lí 12 CD
5 phút giải hoá học 12 CD
5 phút giải sinh học 12 CD
5 phút giải KTPL 12 CD
5 phút giải lịch sử 12 CD
5 phút giải địa lí 12 CD
5 phút giải CN lâm nghiệp 12 CD
5 phút giải CN điện - điện tử 12 CD
5 phút giải THUD 12 CD
5 phút giải KHMT 12 CD
5 phút giải HĐTN 12 CD
5 phút giải ANQP 12 CD
Giải chuyên đề học tập lớp 12 kết nối tri thức
Giải chuyên đề Ngữ văn 12 Kết nối tri thức
Giải chuyên đề Toán 12 Kết nối tri thức
Giải chuyên đề Vật lí 12 Kết nối tri thức
Giải chuyên đề Hóa học 12 Kết nối tri thức
Giải chuyên đề Sinh học 12 Kết nối tri thức
Giải chuyên đề Kinh tế pháp luật 12 Kết nối tri thức
Giải chuyên đề Lịch sử 12 Kết nối tri thức
Giải chuyên đề Địa lí 12 Kết nối tri thức
Giải chuyên đề Tin học ứng dụng 12 Kết nối tri thức
Giải chuyên đề Khoa học máy tính 12 Kết nối tri thức
Giải chuyên đề Công nghệ 12 Điện - điện tử Kết nối tri thức
Giải chuyên đề Công nghệ 12 Lâm nghiệp thủy sản Kết nối tri thức
Giải chuyên đề học tập lớp 12 chân trời sáng tạo
Giải chuyên đề Ngữ văn 12 Chân trời sáng tạo
Giải chuyên đề Toán 12 Chân trời sáng tạo
Giải chuyên đề Vật lí 12 Chân trời sáng tạo
Giải chuyên đề Hóa học 12 Chân trời sáng tạo
Giải chuyên đề Sinh học 12 Chân trời sáng tạo
Giải chuyên đề Kinh tế pháp luật 12 Chân trời sáng tạo
Giải chuyên đề Lịch sử 12 Chân trời sáng tạo
Giải chuyên đề Địa lí 12 Chân trời sáng tạo
Giải chuyên đề Tin học ứng dụng 12 Chân trời sáng tạo
Giải chuyên đề Khoa học máy tính 12 Chân trời sáng tạo
Giải chuyên đề Công nghệ 12 Điện - điện tử Chân trời sáng tạo
Giải chuyên đề Công nghệ 12 Lâm nghiệp thủy sản Chân trời sáng tạo
Giải chuyên đề học tập lớp 12 cánh diều
Giải chuyên đề Ngữ văn 12 Cánh diều
Giải chuyên đề Toán 12 Cánh diều
Giải chuyên đề Vật lí 12 Cánh diều
Giải chuyên đề Hóa học 12 Cánh diều
Giải chuyên đề Sinh học 12 Cánh diều
Giải chuyên đề Kinh tế pháp luật 12 Cánh diều
Giải chuyên đề Lịch sử 12 Cánh diều
Giải chuyên đề Địa lí 12 Cánh diều
Giải chuyên đề Tin học ứng dụng 12 Cánh diều
Giải chuyên đề Khoa học máy tính 12 Cánh diều
Giải chuyên đề Công nghệ 12 Điện - điện tử Cánh diều
Giải chuyên đề Công nghệ 12 Lâm nghiệp thủy sản Cánh diều
Bình luận