Slide bài giảng Toán 9 Kết nối bài 7: Căn bậc hai và căn thức bậc hai

Slide điện tử bài 7: Căn bậc hai và căn thức bậc hai. Trình bày với các hiệu ứng hiện đại, hấp dẫn. Giúp học sinh hứng thú học bài. Học nhanh, nhớ lâu. Có tài liệu này, hiệu quả học tập của học môn Toán 9 Kết nối tri thức sẽ khác biệt

Bạn chưa đủ điều kiện để xem được slide bài này. => Xem slide bài mẫu

Tóm lược nội dung

BÀI 7. CĂN BẬC HAI VÀ CĂN THỨC BẬC HAI

1. CĂN BẬC HAI

Hoạt động 1 trang 45 sgk toán 9 tập 1 kết nối tri thức với cuộc sống

Tìm các số thực x sao cho x2 = 49.

Trả lời rút gọn:

x = 7 và x =  -7

Luyện tập 1 trang 45 sgk toán 9 tập 1 kết nối tri thức với cuộc sống

Tìm căn bậc hai của 121

Trả lời rút gọn:

121 có hai căn bậc hai là 11 và -11

Luyện tập 2 trang 45 sgk toán 9 tập 1 kết nối tri thức với cuộc sống

Sử dụng MTCT tìm căn bậc hai của  (làm tròn đến chữ số thập phân thứ hai).

Trả lời rút gọn:

là 0,80 và -0,80.

Hoạt động 2 trang 45 sgk toán 9 tập 1 kết nối tri thức với cuộc sống

Tính và so sánh  trong mỗi trường hợp sau:

a) a = 3;

b) a = -3.

Trả lời rút gọn: 

a) Ta có:  

-Mà |a| = |3|=3 nên

b)

-Mà |a| = |-3|=3 nên .

Luyện tập 3 trang 46 sgk toán 9 tập 1 kết nối tri thức với cuộc sống

a) Không sử dụng MTCT, tính:

b) So sánh 3 với  bằng hai cách:

- Sử dụng MTCT;

- Sử dụng tính chất của căn thức bậc hai số học đã học ở lớp 7: Nếu thì

Trả lời rút gọn:

a)

= 1

b)

- Cách 1: Sử dụng MTCT được  nên 3 <

- Cách 2: Ta có 3 =  => .

2. CĂN THỨC BẬC HAI

Hoạt động 3 trang 46 sgk toán 9 tập 1 kết nối tri thức với cuộc sống

Viết biểu thức tính độ dài cạnh huyền BC của tam giác vuông ABC, biết AB = 3 cm và AC = x cm.

Trả lời rút gọn:

BC =

Hoạt động 4 trang 46 sgk toán 9 tập 1 kết nối tri thức với cuộc sống

Cho biểu thức C =

a) Tính giá trị của biểu thức tại x = 5

b) Tại x = 0 có tính được giá trị của biểu thức không? Vì sao?

Trả lời rút gọn:

a) x = 5: C =  

b) Tại x = 0

C =

-Không thể tính giá trị biểu thức C vì  xác định khi A lấy giá trị không âm.

Luyện tập 4 trang 47 sgk toán 9 tập 1 kết nối tri thức với cuộc sống

Cho căn thức

a) Tìm điều kiện xác định của căn thức.

b) Tính giá trị của căn thức tại x = 2.

Trả lời rút gọn:

a) ĐK: 5 – 2x

b) Tại x = 2, ta được: .

Luyện tập 5 trang 48 sgk toán 9 tập 1 kết nối tri thức với cuộc sống

a) Rút gọn biểu thức

b) Rút gọn và tính giá trị biểu thức x +

Trả lời rút gọn:

a)Ta có:

b) Ta có

Thay x = 5 ta được: -2,5 + |2.(-2,5)+1|=1,5.

Vận dụng trang 48 sgk toán 9 tập 1 kết nối tri thức với cuộc sống

Trở lại tình huống mở đầu.

a) Viết công thức tính thời gian t(giây) cần thiết để vật rơi được vào khoảng S (mét).

b) Sử dụng công thức tìm được trong câu a, hãy trả lời câu hỏi trong tình huống mở đầu.

Trả lời rút gọn:

a) Ta có : S =  

=> t =

b) Thời gian vật rơi được quãng đường 122,5 mét là:

=> t =

-Vậy sau 5 giây thì vật sẽ chạm đất nếu rơi từ độ cao 122,5 mét.

3. GIẢI BÀI TẬP CUỐI SGK 

Giải chi tiết bài 3.1 trang 48 sgk toán 9 tập 1 kết nối tri thức với cuộc sống

Tìm căn bậc hai của mỗi số sau (làm tròn đến chữ số thập phân thứ hai):

a) 24,5;

b)

Trả lời rút gọn:

a) Với  => 24,5 (làm tròn đến chữ số thập phân thứ hai) là 4,95 và -4,95.

b) Với  => (làm tròn đến chữ số thập phân thứ hai) là 0,95 và -0,95

Giải chi tiết bài 3.2 trang 48 sgk toán 9 tập 1 kết nối tri thức với cuộc sống

Để chuẩn bị trồng cây trên vỉa hè, người ta để lại những ô đất hình tròn có diện tích khoảng 2 m2. Em hãy ước lượng (với độ chính xác là 0,005) đường kính của các ô đất đó khoảng bao nhiêu mét?

Trả lời rút gọn:

-Bán kính của ô đất là

-Độ chính xác là 0,005 là làm tròn đến hàng phần trăm tức là R

Giải chi tiết bài 3.3 trang 48 sgk toán 9 tập 1 kết nối tri thức với cuộc sống

Tìm điều kiện xác định của  và tính giá trị của căn thức tại x = -1.

Trả lời rút gọn:

-ĐK:

-Thay x = -1 vào căn thức ta được

Giải chi tiết bài 3.4 trang 48 sgk toán 9 tập 1 kết nối tri thức với cuộc sống

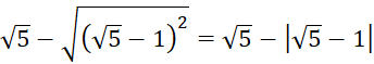
Tính

Trả lời rút gọn:

;

Giải chi tiết bài 3.5 trang 48 sgk toán 9 tập 1 kết nối tri thức với cuộc sống

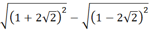
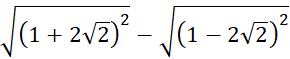
a)

c)

Trả lời rút gọn:

a)

b) 3

c)

Giải chi tiết bài 3.6 trang 48 sgk toán 9 tập 1 kết nối tri thức với cuộc sống

Không dùng MTCT, chứng tỏ biểu thức A có giá trị là số nguyên:

A =

Trả lời rút gọn: 

A =

A =

A =

A =