Slide bài giảng toán 7 chân trời bài tập cuối chương 7 (2 tiết)
Slide điện tử bài tập cuối chương 7 (2 tiết). Kiến thức bài học được hình ảnh hóa, sinh động hóa. Trình bày với các hiệu ứng hiện đại, hấp dẫn. Giúp học sinh hứng thú học bài. Học nhanh, nhớ lâu. Có tài liệu này, hiệu quả học tập của học môn Toán 7 chân trời sáng tạo sẽ khác biệt
Bạn chưa đủ điều kiện để xem được slide bài này. => Xem slide bài mẫu
Tóm lược nội dung
CHƯƠNG 7: BIỂU THỨC ĐẠI SỐ
GIẢI BÀI TẬP CUỐI CHƯƠNG 7
Bài 1: Cho A = x2y+2xy−3y2+4. Tính giá trị của biểu thức A khi x = -2; y = 3.
Trả lời rút gọn:
Với x = -2, y = 3, ta có: A =
= -23.
Bài 2: Trong các biểu thức sau, biểu thức nào là đơn thức một biến?
a) 2y
b) 3x+5
c) 8
d) 21t12
Trả lời rút gọn:
Biểu thức là đơn thức một biến là:
a) 2y
c) 8
d) ![]()
Bài 3: Trong các biểu thức sau, biểu thức nào là đa thức một biến:
3 + 6y;
;
; 
Trả lời rút gọn:
Biểu thức là đa thức một biến:
3 + 6y;
; ![]()
Bài 4: Hãy viết một đa thức một biến bậc ba có 3 số hạng
Trả lời rút gọn:
.
Bài 5: Hãy cho biết bậc của các đa thức sau
A= ![]()
B= 7
M = ![]()
Trả lời rút gọn:
Đa thức A bậc 2.
Đa thức B bậc 0.
Đa thức M bậc 4.
Bài 6: Cho đa thức P(x) = x3+27. Tìm nghiệm của P(x) trong tập hợp {0; 3; -3}.
Trả lời rút gọn:
Với x = 0, P(0) =
= 27.
Với x = -3, P(-3) =
= 0.
Với x = 3, P(3) =
= 54.
Vậy x = -3 là nghiệm của đa thức P(x).
Bài 7: Tam giác trong hình 1 có chu vi bằng (25y - 8) cm. Tìm cạnh chưa biết trong tam giác đó.

Trả lời rút gọn:
Cạnh chưa biết của tam giác đó là:
(25y - 8) - [(5y + 3) + (7y -4)] = (25y - 8) - (12y - 1) = 13y -7.
Bài 8: Cho đa thức: M(x) = 2x4−5x3+7x2+3x.
Tìm các đa thức N(x), Q(x) sao cho:
N(x) - M(x) = −4x4−2x3+6x2+7 và Q(x) + M(x) = 6x5−x4+3x2−2.
Trả lời rút gọn:
+) N(x) = M(x) +
=![]()
.
+) Q(x) =
- M(x)
= ![]()
Bài 9: Thực hiện phép nhân
a. (3x−2)(4x+5)
b. (x2−5x+4)(6x+1)
Trả lời rút gọn:
a) ![]()
.
b) ![]()
Bài 10: Thực hiện phép chia:
a) (45x5−5x4+10x2):5x2;
b) (9t2−3t4+27t5):(3t).
Trả lời rút gọn:
a) ![]()
b) ![]()
Bài 11: Thực hiện phép chia:
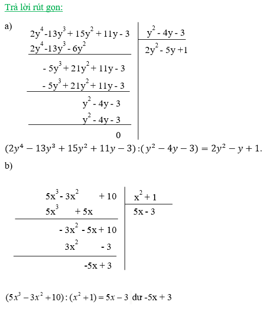
a) (2y4−13y3+15y2+11y−3):(y2−4y−3)
b) (5x3−3x2+10):(x2+1).
