Câu hỏi tự luận mức độ vận dụng Toán 9 cd bài 2: Vị trí tương đối của đường thẳng và đường tròn
3. VẬN DỤNG (5 câu)
Câu 1: Cho hình vuông
, trên đường chéo
lấy điểm
sao cho
. Đường thẳng kẻ qua
vuông góc với
cắt
ở
.
a) So sánh: ![]()
b) Xác định vị trí tương đối của đường thẳng
với đường tròn ![]()
Câu 2: Cho đoạn thẳng
và trung điểm
của
. Trên cùng một nửa mặt phẳng bờ
vẽ tia
vuông góc với
. Trên các tia
và
lấy theo thứ tự hai điểm
và
sao cho
, kẻ
a) Chứng minh rằng
thuộc đường tròn tâm
đường kính ![]()
b) Xác định vị trí tương đối của
với đường tròn ![]()
Câu 3: Cho điểm
cách đường thẳng
một đoạn bằng 6cm, vẽ đường tròn ![]()
a) Chứng minh rằng đường tròn tâm
và đường thẳng
cắt nhau
b) Gọi hai giao điểm là
và
. Tính ![]()
Câu 4: Cho
vuông cân tại
. Vẽ tia phân giác ![]()
a) Chứng minh rằng đường tròn
tiếp xúc với đường thẳng ![]()
b) Cho biết
. Tính
theo
.
Câu 5: Cho điểm
cách đường thẳng
là
. Vẽ đường tròn ![]()
a) Chứng minh rằng
có hai giao điểm với đường thẳng ![]()
b) Gọi hai giao điểm nói trên là
và
. Tính độ dài ![]()
Câu 1:

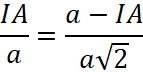
a) Ta có :
vuông cân
Từ (1)(2) ![]()
b) Ta lại có ![]()
mặt khác:
đường thẳng
tiếp xúc với
Câu 2:

a) Kéo dài
cắt
ở
, ta có :
![]()
b) Ta có
thuộc đường tròn
,
tại
khoảng cách từ
đến
bằng bán kính của
. Vậy
tiếp xúc với
tại
.
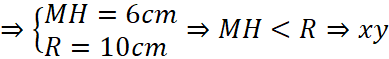
Câu 3:

a) Kẻ
là khoảng cách từ
đến ![]()
cắt
tại
và ![]()
b) Xét tam giác
cân tại
và
nên
cũng là đường trung tuyến
![]()
Xét
Câu 4:

a) Ta có
tiếp xúc với
tại ![]()
mặt khác
là tia phân giác của ![]()
Do đó đường tròn
tiếp xúc với ![]()
b) Áp dụng tính chất tia phân giác trong
, ta có:
![]()
![]()
![]()
![]()
Câu 5:

a) Kẻ
là khoảng cách từ tâm
đến đường thẳng ![]()
Do
có hai giao điểm với đường thẳng ![]()
b) Vì ![]()
Áp dụng hệ thức pythagore vào
vuông tại
có cạnh huyền
, ta được:
![]()
![]()
![]()
![]()
Vậy
.
Giải những bài tập khác
Giải bài tập những môn khác
Môn học lớp 9 KNTT
5 phút giải toán 9 KNTT
5 phút soạn bài văn 9 KNTT
Văn mẫu 9 kết nối tri thức
5 phút giải KHTN 9 KNTT
5 phút giải lịch sử 9 KNTT
5 phút giải địa lí 9 KNTT
5 phút giải hướng nghiệp 9 KNTT
5 phút giải lắp mạng điện 9 KNTT
5 phút giải trồng trọt 9 KNTT
5 phút giải CN thực phẩm 9 KNTT
5 phút giải tin học 9 KNTT
5 phút giải GDCD 9 KNTT
5 phút giải HĐTN 9 KNTT
Môn học lớp 9 CTST
5 phút giải toán 9 CTST
5 phút soạn bài văn 9 CTST
Văn mẫu 9 chân trời sáng tạo
5 phút giải KHTN 9 CTST
5 phút giải lịch sử 9 CTST
5 phút giải địa lí 9 CTST
5 phút giải hướng nghiệp 9 CTST
5 phút giải lắp mạng điện 9 CTST
5 phút giải cắt may 9 CTST
5 phút giải nông nghiệp 9 CTST
5 phút giải tin học 9 CTST
5 phút giải GDCD 9 CTST
5 phút giải HĐTN 9 bản 1 CTST
5 phút giải HĐTN 9 bản 2 CTST
Môn học lớp 9 cánh diều
5 phút giải toán 9 CD
5 phút soạn bài văn 9 CD
Văn mẫu 9 cánh diều
5 phút giải KHTN 9 CD
5 phút giải lịch sử 9 CD
5 phút giải địa lí 9 CD
5 phút giải hướng nghiệp 9 CD
5 phút giải lắp mạng điện 9 CD
5 phút giải trồng trọt 9 CD
5 phút giải CN thực phẩm 9 CD
5 phút giải tin học 9 CD
5 phút giải GDCD 9 CD
5 phút giải HĐTN 9 CD
Trắc nghiệm 9 Kết nối tri thức
Trắc nghiệm 9 Chân trời sáng tạo
Trắc nghiệm 9 Cánh diều
Tài liệu lớp 9
Văn mẫu lớp 9
Đề thi lên 10 Toán
Đề thi môn Hóa 9
Đề thi môn Địa lớp 9
Đề thi môn vật lí 9
Tập bản đồ địa lí 9
Ôn toán 9 lên 10
Ôn Ngữ văn 9 lên 10
Ôn Tiếng Anh 9 lên 10
Đề thi lên 10 chuyên Toán
Chuyên đề ôn tập Hóa 9
Chuyên đề ôn tập Sử lớp 9
Chuyên đề toán 9
Chuyên đề Địa Lý 9
Phát triển năng lực toán 9 tập 1
Bài tập phát triển năng lực toán 9
Bình luận