Trắc nghiệm Toán 12 chân trời Ôn tập chương 1: Ứng dụng đạo hàm để khảo sát hàm số (P2)
Bộ câu hỏi và Trắc nghiệm Toán 12 chân trời sáng tạo Ôn tập chương 1: Ứng dụng đạo hàm để khảo sát hàm số (P2) có đáp án. Học sinh luyện tập bằng cách chọn đáp án của mình trong từng câu hỏi. Dưới cùng của bài trắc nghiệm, có phần xem kết quả để so sánh kết quả bài làm của mình. Kéo xuống dưới để bắt đầu.
TRẮC NGHIỆM
Câu 1: Cho hàm số
có bảng xét dấu đạo hàm
như sau:

Hàm số đã cho nghịch biến trên khoảng nào dưới đây?
- A.

B.

- C.

- D.
.
Câu 2: Cho hàm số
đồng biến trên tập số thực
, mệnh đề nào sau đây là đúng?
- A. Với mọi
thì
. - B. Với mọi
thì
. - C. Với mọi
thì
. D. Với mọi
thì
.
Câu 3: Cho hàm số
xác định trên
và có đồ thị cảu hàm số
như hình vẽ. Hàm số
có bao nhiêu điểm cực trị?

- A.
. - B.
. C.
.- D.
.
Câu 4: Hàm số
đồng biến trên khoảng nào?
- A.
. - B.
. - C.
. D.
và
.
Câu 5: Cho hàm số
có đạo hàm
. Hàm số đã cho có bao nhiêu cực trị?
A. 2

- B.
. - C.
. - D.
.
Câu 6: Cho hàm số
có đạo hàm
với mọi
. Hàm số
nghịch biến trên khoảng nào dưới đây?
A.
.- B.
. - C.
. - D.
.
Câu 7: Cho hàm số
liên tục trên
và đồ thị có 3 điểm cực trị như hình dưới đây:

Số điểm cực trị của hàm số
là:
- A.
. - B.
. - C.
. D.
.
Câu 8: Có bai nhiêu giá trị nguyên của tham số
sao cho ứng với mỗi
, hàm số
có đúng một điểm cực trị thuộc khoảng
?
- A.
. - B.
. C.
.- D.
.
Câu 9: Cho hàm số
có bảng biến thiên trên đoạn
như sau:

Giá trị lớn nhất của hàm số đã cho trên đoạn
bằng:
- A.
. - B.
. C.
.- D.
.
Câu 10: Cho hàm số
xác định và liên tục trên
có đồ thị hàm số như hình vẽ bên. Mệnh đề nào sau đây sai?

A. Hàm số đạt giá trị lớn nhất bằng
.- B. Hàm số đạt giá trị nhỏ nhất bằng
. - C. Giá trị cực tiểu tại
. - D. Hàm số đồng biến trên khoảng

Câu 11: Cho hàm số
có đạo hàm
. Giá trị nhỏ nhất của hàm số
trên đoạn
bằng:
A.
.- B.
. - C.
. - D.
.
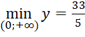
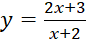
Câu 12: Cho hàm số
với
là tham số thực dương. Biết rằng hàm số có giá trị nhỏ nhất trên đoạn
bằng
. Giá trị
thuộc khoảng nào trong các khoảng cho dưới đây?
A.

- B.
. - C.
. - D.
.
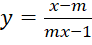
Câu 13: Tìm tất cả các giá trị của
để giá trị nhỏ nhất của hàm số
trên đoạn
luôn bé hơn 3.
- A.
. B.
.- C.
. - D.
.
Câu 14: Một loại thuốc được dùng cho một bệnh nhân và nồng độ thuốc trong máu của bệnh nhân được giám sát bởi bác sĩ. Biết rằng nồng độ thuốc trong máu của bệnh nhân sau khi tiêm vào cơ thể trong
giờ được cho bởi công thức
. Sau khi tiêm thuốc bao lâu thì nồng độ thuốc trong máu của bệnh nhân cao nhất?
- A.
giờ. B.
giờ.- C.
giờ. - D.
giờ.
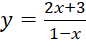
Câu 15: Đường cong trong hình vẽ bên là đồ thị của một hàm số trong 4 hàm số được liệt kê ở dưới. Hỏi đó là hàm số nào?

- A.
. B.
.- C.
. - D.
.
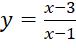
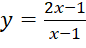
Câu 16: Tâm đối xứng của đồ thị hàm số
có tọa độ điểm là:
- A.
. - B.
. C.
.- D.
.
Câu 17: Cho hàm số
. Khảng định nào sau đây là khẳng định đúng?
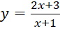
A. Đồ thị hàm số có 2 tiệm cận đứng, có 1 tiệm cận ngang
.- B. Đồ thị hàm số có 2 tiệm cận đứng, có 1 tiệm cận ngang
. - C. Đồ thị hàm số có tiệm cận đứng, không có tiệm cận ngang.
- D. Đồ thị hàm số không có tiệm cận đứng, có tiệm cận ngang.
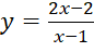
Câu 18: Cho hàm số
. Tìm tất cả giá trị của
để đồ thị hàm số không có tiệm cận đứng.
- A.
. - B.
. - C.
. D.
.
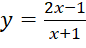
Câu 19: Cho hàm số
có đồ thị
. Gọi
là điểm thuộc đồ thị hàm số có hoành độ dương sao cho tổng khoảng cách từ
đến hai tiệm cận của
nhỏ nhất. Khi đó tổng
bằng:
A.
.- B.
. - C.
. - D.
.
Câu 20: Hàm số
có bảng biến thiên như hình vẽ:

Với
thì phương trình
có bao nhiêu nghiệm.
- A. 3

- B.
. - C. 5.
D.
.
Câu 21: Cho hàm số
có đồ thị là
và đường thẳng
. Tất cả các giá trị của tham số
để
cắt
tại 2 điểm phân biệt là:
A.
.- B.
. - C.
. - D.
.
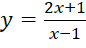
Câu 22: Tìm
để đồ thị hàm số
cắt đường thẳng
tại ba điểm phân biệt có hoành độ
thỏa mãn
.
A.
.- B.
. - C.
. - D.
.
Câu 23: Cho hàm số
xác định trên
, liên tục trên mỗi khoảng xác định và có bảng biến thiên như sau:

Khẳng định nào sau đây đúng:
A. Đồ thị hàm số chỉ có 1 tiệm cận.
- B. Hàm số có 2 cực trị.
- C. Đồ thị hàm số có hai tiệm cận.
- D. hàm số đạt cực tiểu tại
.
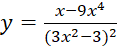
Câu 24: Tính giá trị nhỏ nhất của hàm số
trên khoảng
.
- A.
. B.
.- C.
. - D.
.
Câu 25: Cho hàm số
có đồ thị như hình vẽ bên dưới:

Giá trị
bằng:
- A.
. B.
.- C.

- D.

Câu 26: Một loại vi khuẩn được tiêm một loại thuốc kích thích sự sinh sản. Sau
phút, số vi khuẩn được xác định theo công thức
. Hỏi sau bao giây thì số vi khuẩn lớn nhất?
- A.
. - B.
. - C.
. D.
.
Xem toàn bộ: Giải Toán 12 chân trời Bài tập cuối chương I
Nội dung quan tâm khác
Giải bài tập những môn khác
Môn học lớp 12 KNTT
5 phút giải toán 12 KNTT
5 phút soạn bài văn 12 KNTT
Văn mẫu 12 KNTT
5 phút giải vật lí 12 KNTT
5 phút giải hoá học 12 KNTT
5 phút giải sinh học 12 KNTT
5 phút giải KTPL 12 KNTT
5 phút giải lịch sử 12 KNTT
5 phút giải địa lí 12 KNTT
5 phút giải CN lâm nghiệp 12 KNTT
5 phút giải CN điện - điện tử 12 KNTT
5 phút giải THUD12 KNTT
5 phút giải KHMT12 KNTT
5 phút giải HĐTN 12 KNTT
5 phút giải ANQP 12 KNTT
Môn học lớp 12 CTST
5 phút giải toán 12 CTST
5 phút soạn bài văn 12 CTST
Văn mẫu 12 CTST
5 phút giải vật lí 12 CTST
5 phút giải hoá học 12 CTST
5 phút giải sinh học 12 CTST
5 phút giải KTPL 12 CTST
5 phút giải lịch sử 12 CTST
5 phút giải địa lí 12 CTST
5 phút giải THUD 12 CTST
5 phút giải KHMT 12 CTST
5 phút giải HĐTN 12 bản 1 CTST
5 phút giải HĐTN 12 bản 2 CTST
Môn học lớp 12 cánh diều
5 phút giải toán 12 CD
5 phút soạn bài văn 12 CD
Văn mẫu 12 CD
5 phút giải vật lí 12 CD
5 phút giải hoá học 12 CD
5 phút giải sinh học 12 CD
5 phút giải KTPL 12 CD
5 phút giải lịch sử 12 CD
5 phút giải địa lí 12 CD
5 phút giải CN lâm nghiệp 12 CD
5 phút giải CN điện - điện tử 12 CD
5 phút giải THUD 12 CD
5 phút giải KHMT 12 CD
5 phút giải HĐTN 12 CD
5 phút giải ANQP 12 CD
Giải chuyên đề học tập lớp 12 kết nối tri thức
Giải chuyên đề Ngữ văn 12 Kết nối tri thức
Giải chuyên đề Toán 12 Kết nối tri thức
Giải chuyên đề Vật lí 12 Kết nối tri thức
Giải chuyên đề Hóa học 12 Kết nối tri thức
Giải chuyên đề Sinh học 12 Kết nối tri thức
Giải chuyên đề Kinh tế pháp luật 12 Kết nối tri thức
Giải chuyên đề Lịch sử 12 Kết nối tri thức
Giải chuyên đề Địa lí 12 Kết nối tri thức
Giải chuyên đề Tin học ứng dụng 12 Kết nối tri thức
Giải chuyên đề Khoa học máy tính 12 Kết nối tri thức
Giải chuyên đề Công nghệ 12 Điện - điện tử Kết nối tri thức
Giải chuyên đề Công nghệ 12 Lâm nghiệp thủy sản Kết nối tri thức
Giải chuyên đề học tập lớp 12 chân trời sáng tạo
Giải chuyên đề Ngữ văn 12 Chân trời sáng tạo
Giải chuyên đề Toán 12 Chân trời sáng tạo
Giải chuyên đề Vật lí 12 Chân trời sáng tạo
Giải chuyên đề Hóa học 12 Chân trời sáng tạo
Giải chuyên đề Sinh học 12 Chân trời sáng tạo
Giải chuyên đề Kinh tế pháp luật 12 Chân trời sáng tạo
Giải chuyên đề Lịch sử 12 Chân trời sáng tạo
Giải chuyên đề Địa lí 12 Chân trời sáng tạo
Giải chuyên đề Tin học ứng dụng 12 Chân trời sáng tạo
Giải chuyên đề Khoa học máy tính 12 Chân trời sáng tạo
Giải chuyên đề Công nghệ 12 Điện - điện tử Chân trời sáng tạo
Giải chuyên đề Công nghệ 12 Lâm nghiệp thủy sản Chân trời sáng tạo
Giải chuyên đề học tập lớp 12 cánh diều
Giải chuyên đề Ngữ văn 12 Cánh diều
Giải chuyên đề Toán 12 Cánh diều
Giải chuyên đề Vật lí 12 Cánh diều
Giải chuyên đề Hóa học 12 Cánh diều
Giải chuyên đề Sinh học 12 Cánh diều
Giải chuyên đề Kinh tế pháp luật 12 Cánh diều
Giải chuyên đề Lịch sử 12 Cánh diều
Giải chuyên đề Địa lí 12 Cánh diều
Giải chuyên đề Tin học ứng dụng 12 Cánh diều
Giải chuyên đề Khoa học máy tính 12 Cánh diều
Giải chuyên đề Công nghệ 12 Điện - điện tử Cánh diều
Giải chuyên đề Công nghệ 12 Lâm nghiệp thủy sản Cánh diều
Bình luận