Trắc nghiệm Toán 12 Chân trời bài tập cuối chương I (P2)
Bộ câu hỏi và Trắc nghiệm Toán 12 chân trời sáng tạo bài tập cuối chương I (P2) có đáp án. Học sinh luyện tập bằng cách chọn đáp án của mình trong từng câu hỏi. Dưới cùng của bài trắc nghiệm, có phần xem kết quả để so sánh kết quả bài làm của mình. Kéo xuống dưới để bắt đầu.
TRẮC NGHIỆM
Câu 1: Cho hàm số có đồ thị như hình vẽ. Hàm số đã cho đồng biến trên khoảng nào?
- A.
- B.
- C.
D.
.
Câu 2: Cho hàm số có bảng biến thiên như sau:
Tìm giá trị cực đại và giá trị cực tiểu của hàm số đã cho.
- A.
và
.
B.
và
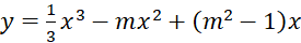
.
- C.
và
.
- D.
và
.
Câu 3: Hàm số nào dưới đây đồng biến trên khoảng ?
- A.
B.
- C.
- D.
.
Câu 4: Cho hàm số có bảng biến thiên như hình vẽ. Mệnh đề nào dưới đây đúng?
A.
.
- B.
.
- C.
.
- D.
.
Câu 5: Đường cong ở hình bên là đồ thị của một trong bốn hàm số dưới đây. Hàm số đó là hàm số nào?
- A.
.
B.
.
- C.
.
- D.
.
Câu 6: Đường cong ở hình bên là đồ thị của hàm số với là các số thực. Mệnh đề nào dưới đây đúng?
- A.
.
- B.
.
- C.
.
D.
.
Câu 7: Cho hàm số có đồ thị
. Mệnh đề nào sau đây đúng?
- A.
cắt trục hoành tại hai điểm.
B.
cắt trục hoành tại một điểm.
- C.
không cắt trục hoành.
- D.
cắt trục hoành tại ba điểm.
Câu 8: Cho hàm số liên tục trên
và có bảng biến thiên như sau:
Gọi lần lượt là giá trị lớn nhất và giá trị nhỏ nhất của hàm số
trên đoạn
. Tính
.
- A.
.
- B.
.
- C.
.
D.
.
Câu 9: Cho hàm số thỏa mãn
và
. Khẳng định nào dưới đây đúng?
- A. Đồ thị hàm số đã cho có hai tiệm cận ngang là
.
- B. Đồ thị hàm số đã cho không có tiệm cận ngang.
C. Đồ thị hàm số đã cho có hai tiệm cận ngang là
.
- D. Đồ thị hàm số đã cho có duy nhất một tiệm cận ngang.
Câu 10: Cho hàm số xác định trên
, liên tục trên mỗi khoảng xác định và có bảng biến thiên như sau:
Khẳng định nào sau đây đúng:
A. Đồ thị hàm số chỉ có 1 tiệm cận.
- B. Hàm số có 2 cực trị.
- C. Đồ thị hàm số có hai tiệm cận.
- D. hàm số đạt cực tiểu tại
.
Câu 11: Cho hàm số . Mệnh đề nào dưới đây đúng?
A. Hàm số nghịch biến trên
.
- B. Hàm số nghịch biến trên khoảng
.
- C. Hàm số đồng biến trên khoảng
.
- D. Hàm số nghịch biến trên khoảng
.
Câu 12: Đường cong dưới đây là đồ thị của hàm số nào?
- A.
.
- B.
.
- C.
.
D.
.
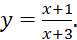
Câu 13: Tìm số tiệm cận của đồ thị hàm số
- A.
.
- B.
.
- C. 0.
D.
.
Câu 14: Tìm giá trị lớn nhất của hàm số
trên đoạn
.
- A.
.
- B.
.
C.
.
- D.
.
Câu 15: Tính giá trị nhỏ nhất của hàm số trên khoảng
.
- A.
.
B.
.
- C.
.
- D.
.
Câu 16: Cho hàm số (
là tham số thực) thỏa mãn
. Mệnh đề nào dưới đây đúng?
- A.
.
B.
.
- C.
.
- D.
.
Câu 17: Tìm tất cả các giá trị thực của tham số để hàm số
không có cực đại.
A.
- B.
.
- C.
.
- D.
.
Câu 18: Hỏi có bao nhiêu số nguyên để hàm số
nghịch biến trên khoảng
.
A.
.
- B.
.
- C.
.
- D.
.
Câu 19: Gọi là tập hợp tất cả các giá trị thực của tham số
để đồ thị của hàm số
có hai điểm cực trị là
và
sao cho
nằm khác phía và cách đều đường thẳng
. Tính tổng tất cả các phần tử của
A.
.
- B.
.
- C.
.
- D.
.
Câu 20: Đợt xuất khẩu gạo của tỉnh thường kéo dài trong 2 tháng (60 ngày). Người ta nhận thấy số lượng xuất khẩu gạo tính theo ngày thứ
được xác định bởi công thức
. Hỏi trong mấy ngày đó thì ngày thứ mấy có số lượng xuất khẩu gạo cao nhất?
- A.
.
- B.
.
C.
.
- D.
.
Xem toàn bộ: Giải Toán 12 chân trời Bài tập cuối chương I
Nội dung quan tâm khác
Giải bài tập những môn khác
Môn học lớp 12 KNTT
5 phút giải toán 12 KNTT
5 phút soạn bài văn 12 KNTT
Văn mẫu 12 KNTT
5 phút giải vật lí 12 KNTT
5 phút giải hoá học 12 KNTT
5 phút giải sinh học 12 KNTT
5 phút giải KTPL 12 KNTT
5 phút giải lịch sử 12 KNTT
5 phút giải địa lí 12 KNTT
5 phút giải CN lâm nghiệp 12 KNTT
5 phút giải CN điện - điện tử 12 KNTT
5 phút giải THUD12 KNTT
5 phút giải KHMT12 KNTT
5 phút giải HĐTN 12 KNTT
5 phút giải ANQP 12 KNTT
Môn học lớp 12 CTST
5 phút giải toán 12 CTST
5 phút soạn bài văn 12 CTST
Văn mẫu 12 CTST
5 phút giải vật lí 12 CTST
5 phút giải hoá học 12 CTST
5 phút giải sinh học 12 CTST
5 phút giải KTPL 12 CTST
5 phút giải lịch sử 12 CTST
5 phút giải địa lí 12 CTST
5 phút giải THUD 12 CTST
5 phút giải KHMT 12 CTST
5 phút giải HĐTN 12 bản 1 CTST
5 phút giải HĐTN 12 bản 2 CTST
Môn học lớp 12 cánh diều
5 phút giải toán 12 CD
5 phút soạn bài văn 12 CD
Văn mẫu 12 CD
5 phút giải vật lí 12 CD
5 phút giải hoá học 12 CD
5 phút giải sinh học 12 CD
5 phút giải KTPL 12 CD
5 phút giải lịch sử 12 CD
5 phút giải địa lí 12 CD
5 phút giải CN lâm nghiệp 12 CD
5 phút giải CN điện - điện tử 12 CD
5 phút giải THUD 12 CD
5 phút giải KHMT 12 CD
5 phút giải HĐTN 12 CD
5 phút giải ANQP 12 CD
Giải chuyên đề học tập lớp 12 kết nối tri thức
Giải chuyên đề Ngữ văn 12 Kết nối tri thức
Giải chuyên đề Toán 12 Kết nối tri thức
Giải chuyên đề Vật lí 12 Kết nối tri thức
Giải chuyên đề Hóa học 12 Kết nối tri thức
Giải chuyên đề Sinh học 12 Kết nối tri thức
Giải chuyên đề Kinh tế pháp luật 12 Kết nối tri thức
Giải chuyên đề Lịch sử 12 Kết nối tri thức
Giải chuyên đề Địa lí 12 Kết nối tri thức
Giải chuyên đề Tin học ứng dụng 12 Kết nối tri thức
Giải chuyên đề Khoa học máy tính 12 Kết nối tri thức
Giải chuyên đề Công nghệ 12 Điện - điện tử Kết nối tri thức
Giải chuyên đề Công nghệ 12 Lâm nghiệp thủy sản Kết nối tri thức
Giải chuyên đề học tập lớp 12 chân trời sáng tạo
Giải chuyên đề Ngữ văn 12 Chân trời sáng tạo
Giải chuyên đề Toán 12 Chân trời sáng tạo
Giải chuyên đề Vật lí 12 Chân trời sáng tạo
Giải chuyên đề Hóa học 12 Chân trời sáng tạo
Giải chuyên đề Sinh học 12 Chân trời sáng tạo
Giải chuyên đề Kinh tế pháp luật 12 Chân trời sáng tạo
Giải chuyên đề Lịch sử 12 Chân trời sáng tạo
Giải chuyên đề Địa lí 12 Chân trời sáng tạo
Giải chuyên đề Tin học ứng dụng 12 Chân trời sáng tạo
Giải chuyên đề Khoa học máy tính 12 Chân trời sáng tạo
Giải chuyên đề Công nghệ 12 Điện - điện tử Chân trời sáng tạo
Giải chuyên đề Công nghệ 12 Lâm nghiệp thủy sản Chân trời sáng tạo
Giải chuyên đề học tập lớp 12 cánh diều
Giải chuyên đề Ngữ văn 12 Cánh diều
Giải chuyên đề Toán 12 Cánh diều
Giải chuyên đề Vật lí 12 Cánh diều
Giải chuyên đề Hóa học 12 Cánh diều
Giải chuyên đề Sinh học 12 Cánh diều
Giải chuyên đề Kinh tế pháp luật 12 Cánh diều
Giải chuyên đề Lịch sử 12 Cánh diều
Giải chuyên đề Địa lí 12 Cánh diều
Giải chuyên đề Tin học ứng dụng 12 Cánh diều
Giải chuyên đề Khoa học máy tính 12 Cánh diều
Giải chuyên đề Công nghệ 12 Điện - điện tử Cánh diều
Giải chuyên đề Công nghệ 12 Lâm nghiệp thủy sản Cánh diều
Bình luận