Trắc nghiệm Toán 12 Chân trời Bài 1: Nguyên hàm
Bộ câu hỏi và Trắc nghiệm Toán 12 Chân trời sáng tạo Bài 1: Nguyên hàm có đáp án. Học sinh luyện tập bằng cách chọn đáp án của mình trong từng câu hỏi. Dưới cùng của bài trắc nghiệm, có phần xem kết quả để so sánh kết quả bài làm của mình. Kéo xuống dưới để bắt đầu.
TRẮC NGHIỆM
Câu 1: Trong các mệnh đề sau mệnh đề nào nhận giá trị đúng?
- A. Hàm số y = 1/x có nguyên hàm trên (-∞; +∞).
- B. 3x2 là một số nguyên hàm của x3 trên (-∞; +∞).
C. Hàm số y = |x| có nguyên hàm trên (-∞;+∞).
- D. 1/x + C là họ nguyên hàm của lnx trên (0;+∞).
Câu 2: Hàm số nào dưới đây không phải là một nguyên hàm của f(x)=2x-sin2x ?
- A.x2 + (1/2).cos2x
- B. x2 + cos2 x
- C. x2 - sin2x
D. x2 + cos2x
Câu 3: Tìm I=∫(3x2 - x + 1)exdx
A. I = (3x2 - 7x +8)ex + C
- B. I = (3x2 - 7x)ex + C
- C. I = (3x2 - 7x +8) + ex + C
- D. I = (3x2 - 7x + 3)ex + C
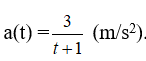
Câu 4: Một vật chuyển động với vận tốc v(t) (m/s) có gia tốc
Vận tốc ban đầu của vật là 6m/s. Vận tốc của vật sau 10 giây xấp xỉ bằng
- A. 10m/s
- B. 11m/s
- C. 12m/s
D. 13m/s.
Câu 5: Tìm I = ∫cos(4x + 3)dx .
- A. I = sin(4x + 2) + C
- B. I = - sin(4x + 3) + C
C. I = (1/4).sin(4x + 3) + C
- D. I = 4sin(4x + 3) + C
Câu 6: Họ nguyên hàm của hàm số
- A. cot2x + C
B. -2cot2x + C
- C. 2cot2x + C
- D. -cot2x + C .
Câu 7: Họ nguyên hàm của hàm số f(x) = (2 tanx + cotx)2 là:
- A. 2tanx - cotx - x + C
- B. 4tanx + cotx - x + C
- C. 4tanx - cotx + x + C
D. 4tanx - cotx - x + C
Câu 8: Biết rằng: f'(x) = ax + b/x2, f(-1) = 2, f(1) = 4, f'(1) = 0
Giá trị biểu thức ab bằng :
- A.0
- B.1
C.-1
- D. 1/2 .
Câu 9: Cho các hàm số:
với x > 3/2. Để F(x) là một nguyên hàm của f(x) thì giá trị của a,b,c lần lượt là:
- A. a = 4; b = 2; c= 1
- B. a = 4; b = -2; c = -1
C. a = 4; b = -2; c = 1
- D. a = 4; b = 2; c = -1 .
Câu 10: Một đám vi khuẩn tại ngày thứ t có số lượng là N(t). Biết rằng
và lúc đầu đám vi khuẩn có 250000 con. Sau 10 ngày số lượng vi khuẩn xấp xỉ bằng:
A. 264334
- B. 263334
- C.264254
- D.254334.
Xem toàn bộ: Giải Toán 12 chân trời Bài 1: Nguyên hàm
Nội dung quan tâm khác
Giải bài tập những môn khác
Môn học lớp 12 KNTT
5 phút giải toán 12 KNTT
5 phút soạn bài văn 12 KNTT
Văn mẫu 12 KNTT
5 phút giải vật lí 12 KNTT
5 phút giải hoá học 12 KNTT
5 phút giải sinh học 12 KNTT
5 phút giải KTPL 12 KNTT
5 phút giải lịch sử 12 KNTT
5 phút giải địa lí 12 KNTT
5 phút giải CN lâm nghiệp 12 KNTT
5 phút giải CN điện - điện tử 12 KNTT
5 phút giải THUD12 KNTT
5 phút giải KHMT12 KNTT
5 phút giải HĐTN 12 KNTT
5 phút giải ANQP 12 KNTT
Môn học lớp 12 CTST
5 phút giải toán 12 CTST
5 phút soạn bài văn 12 CTST
Văn mẫu 12 CTST
5 phút giải vật lí 12 CTST
5 phút giải hoá học 12 CTST
5 phút giải sinh học 12 CTST
5 phút giải KTPL 12 CTST
5 phút giải lịch sử 12 CTST
5 phút giải địa lí 12 CTST
5 phút giải THUD 12 CTST
5 phút giải KHMT 12 CTST
5 phút giải HĐTN 12 bản 1 CTST
5 phút giải HĐTN 12 bản 2 CTST
Môn học lớp 12 cánh diều
5 phút giải toán 12 CD
5 phút soạn bài văn 12 CD
Văn mẫu 12 CD
5 phút giải vật lí 12 CD
5 phút giải hoá học 12 CD
5 phút giải sinh học 12 CD
5 phút giải KTPL 12 CD
5 phút giải lịch sử 12 CD
5 phút giải địa lí 12 CD
5 phút giải CN lâm nghiệp 12 CD
5 phút giải CN điện - điện tử 12 CD
5 phút giải THUD 12 CD
5 phút giải KHMT 12 CD
5 phút giải HĐTN 12 CD
5 phút giải ANQP 12 CD
Giải chuyên đề học tập lớp 12 kết nối tri thức
Giải chuyên đề Ngữ văn 12 Kết nối tri thức
Giải chuyên đề Toán 12 Kết nối tri thức
Giải chuyên đề Vật lí 12 Kết nối tri thức
Giải chuyên đề Hóa học 12 Kết nối tri thức
Giải chuyên đề Sinh học 12 Kết nối tri thức
Giải chuyên đề Kinh tế pháp luật 12 Kết nối tri thức
Giải chuyên đề Lịch sử 12 Kết nối tri thức
Giải chuyên đề Địa lí 12 Kết nối tri thức
Giải chuyên đề Tin học ứng dụng 12 Kết nối tri thức
Giải chuyên đề Khoa học máy tính 12 Kết nối tri thức
Giải chuyên đề Công nghệ 12 Điện - điện tử Kết nối tri thức
Giải chuyên đề Công nghệ 12 Lâm nghiệp thủy sản Kết nối tri thức
Giải chuyên đề học tập lớp 12 chân trời sáng tạo
Giải chuyên đề Ngữ văn 12 Chân trời sáng tạo
Giải chuyên đề Toán 12 Chân trời sáng tạo
Giải chuyên đề Vật lí 12 Chân trời sáng tạo
Giải chuyên đề Hóa học 12 Chân trời sáng tạo
Giải chuyên đề Sinh học 12 Chân trời sáng tạo
Giải chuyên đề Kinh tế pháp luật 12 Chân trời sáng tạo
Giải chuyên đề Lịch sử 12 Chân trời sáng tạo
Giải chuyên đề Địa lí 12 Chân trời sáng tạo
Giải chuyên đề Tin học ứng dụng 12 Chân trời sáng tạo
Giải chuyên đề Khoa học máy tính 12 Chân trời sáng tạo
Giải chuyên đề Công nghệ 12 Điện - điện tử Chân trời sáng tạo
Giải chuyên đề Công nghệ 12 Lâm nghiệp thủy sản Chân trời sáng tạo
Giải chuyên đề học tập lớp 12 cánh diều
Giải chuyên đề Ngữ văn 12 Cánh diều
Giải chuyên đề Toán 12 Cánh diều
Giải chuyên đề Vật lí 12 Cánh diều
Giải chuyên đề Hóa học 12 Cánh diều
Giải chuyên đề Sinh học 12 Cánh diều
Giải chuyên đề Kinh tế pháp luật 12 Cánh diều
Giải chuyên đề Lịch sử 12 Cánh diều
Giải chuyên đề Địa lí 12 Cánh diều
Giải chuyên đề Tin học ứng dụng 12 Cánh diều
Giải chuyên đề Khoa học máy tính 12 Cánh diều
Giải chuyên đề Công nghệ 12 Điện - điện tử Cánh diều
Giải chuyên đề Công nghệ 12 Lâm nghiệp thủy sản Cánh diều
Bình luận