Câu hỏi tự luận mức độ vận dụng cao Toán 9 kntt bài 15: Độ dài của cung tròn. Diện tích hình quạt tròn và hình vành khuyên
4. VẬN DỤNG CAO (3 CÂU)
Câu 1: Cho đường tròn
đường kính
. Điểm
sao cho
. Tính diện tích hình viên phân
. (hình viên phân là phần hình tròn giới hạn bởi một cung tròn và dây căng cung ấy).
Câu 2: Cho tam giác đều
nội tiếp đường tròn
. Độ dài của các cung
đều bằng
. Diện tích của tam giác đều
là:
Câu 3: Cho đường tròn
đường kính
. Điểm
sao cho
. Tính diện tích hình giới hạn bởi đường tròn
và
.
Câu 1:

Xét đường tròn
có:
(góc nội tiếp chắn nửa đường tròn)
Suy ra
(tam giác
vuông tại
)
và
là góc nội tiếp và góc ở tâm cùng chắn cung
Xét
có
và
nên tam giác
đều cạnh bằng
.
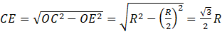
Gọi
là đường cao của tam giác
, ta có:
.
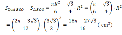
Diện tích hình viên phân
là:

Câu 2:

Gọi
là bán kính của đường tròn
. Độ dài của các cung
đều bằng
nên ta có
, suy ra
hay ![]()
Ta cũng có
suy ra ![]()
Xét tam giác
có: 
Kẻ đường cao
, ta có đồng thời là đường trung tuyến, phân giác của góc
.
Ta có ![]()
Xét tam giác
có: 
Áp dụng định lý Pytago ta có: 
Vậy ![]()
Suy ra
và
.
Câu 3:

Diện tích hình tròn
là: ![]()
Ta có góc
là góc nội tiếp chắn nửa đường tròn
.
Tam giác
có
và
nên tam giác
dều cạnh bằng
.
Giả sử
là đường cao của tam giác
, ta có:

Diện tích hình giới hạn bởi đường tròn
và
là:

Giải những bài tập khác
Giải bài tập những môn khác
Môn học lớp 9 KNTT
5 phút giải toán 9 KNTT
5 phút soạn bài văn 9 KNTT
Văn mẫu 9 kết nối tri thức
5 phút giải KHTN 9 KNTT
5 phút giải lịch sử 9 KNTT
5 phút giải địa lí 9 KNTT
5 phút giải hướng nghiệp 9 KNTT
5 phút giải lắp mạng điện 9 KNTT
5 phút giải trồng trọt 9 KNTT
5 phút giải CN thực phẩm 9 KNTT
5 phút giải tin học 9 KNTT
5 phút giải GDCD 9 KNTT
5 phút giải HĐTN 9 KNTT
Môn học lớp 9 CTST
5 phút giải toán 9 CTST
5 phút soạn bài văn 9 CTST
Văn mẫu 9 chân trời sáng tạo
5 phút giải KHTN 9 CTST
5 phút giải lịch sử 9 CTST
5 phút giải địa lí 9 CTST
5 phút giải hướng nghiệp 9 CTST
5 phút giải lắp mạng điện 9 CTST
5 phút giải cắt may 9 CTST
5 phút giải nông nghiệp 9 CTST
5 phút giải tin học 9 CTST
5 phút giải GDCD 9 CTST
5 phút giải HĐTN 9 bản 1 CTST
5 phút giải HĐTN 9 bản 2 CTST
Môn học lớp 9 cánh diều
5 phút giải toán 9 CD
5 phút soạn bài văn 9 CD
Văn mẫu 9 cánh diều
5 phút giải KHTN 9 CD
5 phút giải lịch sử 9 CD
5 phút giải địa lí 9 CD
5 phút giải hướng nghiệp 9 CD
5 phút giải lắp mạng điện 9 CD
5 phút giải trồng trọt 9 CD
5 phút giải CN thực phẩm 9 CD
5 phút giải tin học 9 CD
5 phút giải GDCD 9 CD
5 phút giải HĐTN 9 CD
Trắc nghiệm 9 Kết nối tri thức
Trắc nghiệm 9 Chân trời sáng tạo
Trắc nghiệm 9 Cánh diều
Tài liệu lớp 9
Văn mẫu lớp 9
Đề thi lên 10 Toán
Đề thi môn Hóa 9
Đề thi môn Địa lớp 9
Đề thi môn vật lí 9
Tập bản đồ địa lí 9
Ôn toán 9 lên 10
Ôn Ngữ văn 9 lên 10
Ôn Tiếng Anh 9 lên 10
Đề thi lên 10 chuyên Toán
Chuyên đề ôn tập Hóa 9
Chuyên đề ôn tập Sử lớp 9
Chuyên đề toán 9
Chuyên đề Địa Lý 9
Phát triển năng lực toán 9 tập 1
Bài tập phát triển năng lực toán 9
Bình luận