Câu hỏi tự luận mức độ vận dụng cao Toán 9 Cd bài 1: Căn bậc hai và căn bậc ba của số thực
4. VẬN DỤNG CAO (2 câu)
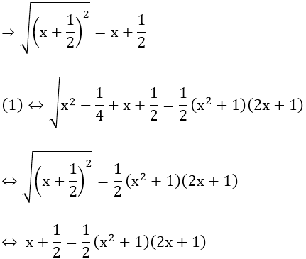
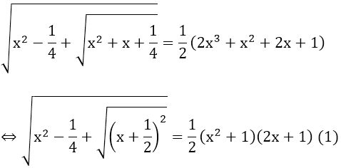
Câu 1: Tìm x, để
Câu 2: Có thể xếp 125 khối lập phương đơn vị (có cạnh bằng 1 cm) thành một khối lập phương lớn được không ?
Câu 1:
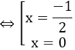
Vì vế trái không âm nên vế phải
Do x2 + 1 > 0 ∀x ∈ R nên 2x + 1 ≥ 0 ⇔ x ≥ -1/2
⇔ 2x + 1 = (x2 + 1)(2x + 1)
⇔ (2x + 1)[1 -(x2 + 1)] = 0
Vậy
Câu 2:
Thể tích của một khối lập phương đơn vị là: 13 = 1 (cm3).
Thể tích của 125 khối lập phương đơn vị là: 125.1 = 125 (cm3).
Giả sử 125 khối lập phương đơn vị xếp được thành một khối lập phương có cạnh là a (cm). Thể tích của khối lập phương cạnh a cm là: a3 (cm3).
Khi đó, ta có a3 = 125, suy ra (cm).
Vậy ta có thể xếp 125 khối lập phương đơn vị (có cạnh bằng 1 cm) thành một khối lập phương lớn có cạnh bằng 5 cm.
Giải những bài tập khác
Giải bài tập những môn khác
Môn học lớp 9 KNTT
5 phút giải toán 9 KNTT
5 phút soạn bài văn 9 KNTT
Văn mẫu 9 kết nối tri thức
5 phút giải KHTN 9 KNTT
5 phút giải lịch sử 9 KNTT
5 phút giải địa lí 9 KNTT
5 phút giải hướng nghiệp 9 KNTT
5 phút giải lắp mạng điện 9 KNTT
5 phút giải trồng trọt 9 KNTT
5 phút giải CN thực phẩm 9 KNTT
5 phút giải tin học 9 KNTT
5 phút giải GDCD 9 KNTT
5 phút giải HĐTN 9 KNTT
Môn học lớp 9 CTST
5 phút giải toán 9 CTST
5 phút soạn bài văn 9 CTST
Văn mẫu 9 chân trời sáng tạo
5 phút giải KHTN 9 CTST
5 phút giải lịch sử 9 CTST
5 phút giải địa lí 9 CTST
5 phút giải hướng nghiệp 9 CTST
5 phút giải lắp mạng điện 9 CTST
5 phút giải cắt may 9 CTST
5 phút giải nông nghiệp 9 CTST
5 phút giải tin học 9 CTST
5 phút giải GDCD 9 CTST
5 phút giải HĐTN 9 bản 1 CTST
5 phút giải HĐTN 9 bản 2 CTST
Môn học lớp 9 cánh diều
5 phút giải toán 9 CD
5 phút soạn bài văn 9 CD
Văn mẫu 9 cánh diều
5 phút giải KHTN 9 CD
5 phút giải lịch sử 9 CD
5 phút giải địa lí 9 CD
5 phút giải hướng nghiệp 9 CD
5 phút giải lắp mạng điện 9 CD
5 phút giải trồng trọt 9 CD
5 phút giải CN thực phẩm 9 CD
5 phút giải tin học 9 CD
5 phút giải GDCD 9 CD
5 phút giải HĐTN 9 CD
Trắc nghiệm 9 Kết nối tri thức
Trắc nghiệm 9 Chân trời sáng tạo
Trắc nghiệm 9 Cánh diều
Tài liệu lớp 9
Văn mẫu lớp 9
Đề thi lên 10 Toán
Đề thi môn Hóa 9
Đề thi môn Địa lớp 9
Đề thi môn vật lí 9
Tập bản đồ địa lí 9
Ôn toán 9 lên 10
Ôn Ngữ văn 9 lên 10
Ôn Tiếng Anh 9 lên 10
Đề thi lên 10 chuyên Toán
Chuyên đề ôn tập Hóa 9
Chuyên đề ôn tập Sử lớp 9
Chuyên đề toán 9
Chuyên đề Địa Lý 9
Phát triển năng lực toán 9 tập 1
Bài tập phát triển năng lực toán 9
Bình luận