Câu hỏi tự luận mức độ vận dụng Toán 9 cd bài 2: Một số hệ thức về cạnh và góc trong tam giác vuông
3. VẬN DỤNG (5 câu)
Câu 1: Tính các góc của hình thoi có hai đường chéo dài
và 2.
Câu 2: Cho tam giác
có
cm, ![]()
a) Tính khoảng cách từ điểm
đến cạnh
.
b) Tính các cạnh và các góc còn lại của tam giác
.
c) Tính khoảng cách từ điểm
đến cạnh
.
Câu 3: ![]()
Câu 4: ![]()
Câu 5: ![]()
![]()
![]()
Câu 1:

Xét hình thoi
có
và
.
Ta có: ![]()
Xét tam giác
vuông tại
có ![]()
Theo định lí Pythagore, ta có:
Suy ra
.
Vì
là hình thoi nên
.
Ta có:
nên ![]()
Vì ![]()
nên ![]()
Suy ra ![]()
Khi đó: ![]()
Vậy hình thoi
có
và độ dài các cạnh đều bằng 2.
Câu 2:
a) Kẻ Xét tam giác
Ta có: Nên | ![]() |
Vậy khoảng cách từ điểm
đến cạnh
là
cm.
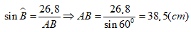
b) Tam giác
có ![]()
Suy ra ![]()
Xét tam giác
vuông tại
có
cm,
Ta có:
nên
cm.
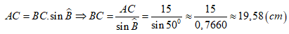
Xét tam giác
vuông tại
có
cm,
Ta có:
nên
cm.
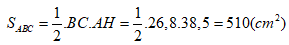
Suy ra
cm
Theo định lí Pythagore, ta có:
![]()
Suy ra
cm.
Vậy
cm,
cm và ![]()
c) Kẻ ![]()
Xét tam giác
vuông tại
có
cm,
Ta có:
Nên
cm.
Vậy khoảng cách từ điểm
đến cạnh
là
cm.
Câu 3:

![]()
![]()
![]()
![]()

![]()
Câu 4:


![]()
![]()
![]()
Câu 5:

a) ![]()
![]()
![]()
![]()
![]()
![]()
![]()
Giải những bài tập khác
Giải bài tập những môn khác
Môn học lớp 9 KNTT
5 phút giải toán 9 KNTT
5 phút soạn bài văn 9 KNTT
Văn mẫu 9 kết nối tri thức
5 phút giải KHTN 9 KNTT
5 phút giải lịch sử 9 KNTT
5 phút giải địa lí 9 KNTT
5 phút giải hướng nghiệp 9 KNTT
5 phút giải lắp mạng điện 9 KNTT
5 phút giải trồng trọt 9 KNTT
5 phút giải CN thực phẩm 9 KNTT
5 phút giải tin học 9 KNTT
5 phút giải GDCD 9 KNTT
5 phút giải HĐTN 9 KNTT
Môn học lớp 9 CTST
5 phút giải toán 9 CTST
5 phút soạn bài văn 9 CTST
Văn mẫu 9 chân trời sáng tạo
5 phút giải KHTN 9 CTST
5 phút giải lịch sử 9 CTST
5 phút giải địa lí 9 CTST
5 phút giải hướng nghiệp 9 CTST
5 phút giải lắp mạng điện 9 CTST
5 phút giải cắt may 9 CTST
5 phút giải nông nghiệp 9 CTST
5 phút giải tin học 9 CTST
5 phút giải GDCD 9 CTST
5 phút giải HĐTN 9 bản 1 CTST
5 phút giải HĐTN 9 bản 2 CTST
Môn học lớp 9 cánh diều
5 phút giải toán 9 CD
5 phút soạn bài văn 9 CD
Văn mẫu 9 cánh diều
5 phút giải KHTN 9 CD
5 phút giải lịch sử 9 CD
5 phút giải địa lí 9 CD
5 phút giải hướng nghiệp 9 CD
5 phút giải lắp mạng điện 9 CD
5 phút giải trồng trọt 9 CD
5 phút giải CN thực phẩm 9 CD
5 phút giải tin học 9 CD
5 phút giải GDCD 9 CD
5 phút giải HĐTN 9 CD
Trắc nghiệm 9 Kết nối tri thức
Trắc nghiệm 9 Chân trời sáng tạo
Trắc nghiệm 9 Cánh diều
Tài liệu lớp 9
Văn mẫu lớp 9
Đề thi lên 10 Toán
Đề thi môn Hóa 9
Đề thi môn Địa lớp 9
Đề thi môn vật lí 9
Tập bản đồ địa lí 9
Ôn toán 9 lên 10
Ôn Ngữ văn 9 lên 10
Ôn Tiếng Anh 9 lên 10
Đề thi lên 10 chuyên Toán
Chuyên đề ôn tập Hóa 9
Chuyên đề ôn tập Sử lớp 9
Chuyên đề toán 9
Chuyên đề Địa Lý 9
Phát triển năng lực toán 9 tập 1
Bài tập phát triển năng lực toán 9

Bình luận