Câu hỏi tự luận mức độ vận dụng Toán 12 cd Bài 3: Phương trình mặt cầu
3. VẬN DỤNG (8 câu)
Câu 1: Hệ thống định vị toàn cầu (tên tiếng Anh là: Global Positioning System, viết tắt là GPS) là một hệ thống cho phép xác định chính xác vị trí của một vật thể trong không gian.
Ta có thể mô phỏng cơ chế hoạt động của hệ thống GPS trong không gian như sau: Trong cùng một thời điểm, toạ độ của một điểm M trong không gian sẽ được xác định bởi bốn vệ tinh cho trước, trên mỗi vệ tinh có một máy thu tín hiệu. Bằng cách so sánh sự sai lệch về thời gian từ lúc tín hiệu được phát đi với thời gian nhận phản hồi tín hiệu đó, mỗi máy thu tín hiệu xác định được khoảng cách từ vệ tinh đến vị trí
cần tìm toạ độ. Như vậy, điểm
là giao điểm của bốn mặt cầu với tâm lần lượt là bốn vệ tinh đã cho.
Giả sử trong không gian với hệ toạ độ
, cho bốn vệ tinh
,
. Tìm toạ độ của điểm
trong không gian, biết khoảng cách từ các vệ tinh đến điểm
lần lượt là
,
,
,
.
Câu 2: Tại một thời điểm có bão, khi đặt hệ trục toạ độ
(đơn vị trên mỗi trục là kilômét) ở một vị trí phù hợp thì tâm bão có toạ độ
.
a) Lập phương trình mặt cầu để mô tả ranh giới bên ngoài vùng ảnh hưởng của bão ở cấp độ: bán kính gió mạnh từ cấp 10, giật từ cấp 12 trở lên khoảng 100 km tính từ tâm bão.
b) Tại một vị trí có tọa độ
thì có bị ảnh hưởng bởi cơn bão được mô tả ở câu a) hay không?
Câu 3: Một nguồn âm phát ra sóng âm là sóng cầu (mặt đầu sóng là mặt cầu). Khi gắn trên hệ trục toạ độ
với đơn vị trên mỗi trục là mét, vị trí nguồn âm có toạ độ
, cường độ âm chuẩn phát ra có bán kính 10 m.
a) Lập phương trình mặt cầu mô tả ranh giới nhận được cường độ âm chuẩn.
b) Tại một vị trí có tọa độ
có nhận được cường độ âm chuẩn từ nguồn âm trên hay không?
Câu 4: Trong không gian với hệ trục tọa độ
, cho hai điểm
,
. Biết rằng tập hợp các điểm
trong không gian thỏa mãn đẳng thức
là một mặt cầu
. Xác định toạ độ tâm
và bán kính
của
.
Câu 5: Hai quả bóng dạng hình cầu có kích thước khác nhau lần lượt đặt vào góc một căn nhà hình hộp chữ nhật sao cho quả bóng tiếp xúc với hai bức tường và nền của căn nhà đó. Trên bề mặt của mỗi quả bóng, tồn tại một điểm có khoảng cách đến hai bức tường quả bóng tiếp xúc và đến nền nhà lần lượt là 2; 3; 1. Tính tổng độ dài các đường kính của hai quả bóng đó.

Câu 6: Mặt cầu
bán kính
có tâm
thuộc mặt phẳng
và đi qua 3 điểm
,
,
. Lập phương trình mặt cầu
, xác định toạ độ tâm và bán kính của mặt cầu.
Câu 7: Trong không gian với hệ trục tọa độ
, cho mặt cầu
và mặt phẳng
. Tìm các giá trị của
để
và
không có điểm chung.
Câu 8: Trong không gian với hệ trục tọa độ
, cho mặt cầu
và đường thẳng
với
là tham số. Tìm tất cả các giá trị của tham số
để đường thẳng
tiếp xúc với mặt cầu
.
Câu 1:
Gọi tọa độ của
là
.
![]()
(1)
![]()
(2)
![]()
(3)
![]()
(4)
Trừ tương ứng theo từng vế của (4) cho (3), (3) cho (1) và (2) cho (1) ta được hệ 3 phương trình sau:
![]()
![]()
![]()
Giải hệ phương trình được
.
Vậy
.
Câu 2:
a) Mặt cầu để mô tả ranh giới bên ngoài vùng ảnh hưởng của bão có tâm
và bán kính
nên có phương trình là:
![]()
b) Khoảng cách từ vị trí có tọa độ
đến tâm bão là:
![]()
Do đó vị trí có tọa độ
có bị ảnh hưởng bởi cơn bão
Câu 3:
a) Mặt cầu mô tả ranh giới nhận được cường độ âm chuẩn có tâm
và bán kính
nên có phương trình là:
![]()
b) Khoảng cách từ vị trí có tọa độ
đến tâm bão là:
![]()
Do đó vị trí có tọa độ
có thể nhận được cường độ âm chuẩn từ nguồn âm
Câu 4:
Gọi toạ độ điểm
.
Ta có: ![]()
![]()
![]()
![]()
![]()
Suy ra phương trình mặt cầu
có tâm
và bán kính
.
Câu 5:
Phương trình mặt cầu là ![]()
Ta có:
và ![]()
Suy ra ![]()
Thay toạ độ của
vào phương trình mặt cầu
ta được:
![]()
hoặc ![]()
Suy ra ![]()
Vậy tổng độ dài đường kính của hai quả bóng đó là 12.
Câu 6:
Phương trình mặt cầu
.
Vì tâm
thuộc mặt phẳng
nên ta có:![]()
Do
đi qua 3 điểm
,
,
nên ta có:
![]()
![]()
![]()
Giải hệ 4 phương trình trên ta được: ![]()
Suy ra phương trình mặt cầu
là:
![]()
![]()
Vậy mặt cầu
có tâm
và bán kính
.
Câu 7:
Mặt cầu
có tâm
và bán kính
.
Ta có: 
Để
và
không có điểm chung thì ![]()
Hay
hoặc ![]()
hoặc ![]()
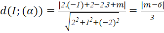
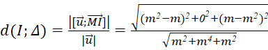
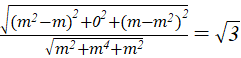
Câu 8:
Ta có: ![]()
![]()
Mặt cầu
có tâm
và bán kính
.
Đường thẳng
có vectơ chỉ phương
và đi qua điểm
.
Ta có:
và
.
Suy ra 
Để đường thẳng
tiếp xúc với mặt cầu
thì ![]()
Hay ![]()
![]()
hoặc
.
Với
thì
không thể là vectơ chỉ phương của đường thẳng
.
Vậy
.
Giải những bài tập khác
Giải bài tập những môn khác
Môn học lớp 12 KNTT
5 phút giải toán 12 KNTT
5 phút soạn bài văn 12 KNTT
Văn mẫu 12 KNTT
5 phút giải vật lí 12 KNTT
5 phút giải hoá học 12 KNTT
5 phút giải sinh học 12 KNTT
5 phút giải KTPL 12 KNTT
5 phút giải lịch sử 12 KNTT
5 phút giải địa lí 12 KNTT
5 phút giải CN lâm nghiệp 12 KNTT
5 phút giải CN điện - điện tử 12 KNTT
5 phút giải THUD12 KNTT
5 phút giải KHMT12 KNTT
5 phút giải HĐTN 12 KNTT
5 phút giải ANQP 12 KNTT
Môn học lớp 12 CTST
5 phút giải toán 12 CTST
5 phút soạn bài văn 12 CTST
Văn mẫu 12 CTST
5 phút giải vật lí 12 CTST
5 phút giải hoá học 12 CTST
5 phút giải sinh học 12 CTST
5 phút giải KTPL 12 CTST
5 phút giải lịch sử 12 CTST
5 phút giải địa lí 12 CTST
5 phút giải THUD 12 CTST
5 phút giải KHMT 12 CTST
5 phút giải HĐTN 12 bản 1 CTST
5 phút giải HĐTN 12 bản 2 CTST
Môn học lớp 12 cánh diều
5 phút giải toán 12 CD
5 phút soạn bài văn 12 CD
Văn mẫu 12 CD
5 phút giải vật lí 12 CD
5 phút giải hoá học 12 CD
5 phút giải sinh học 12 CD
5 phút giải KTPL 12 CD
5 phút giải lịch sử 12 CD
5 phút giải địa lí 12 CD
5 phút giải CN lâm nghiệp 12 CD
5 phút giải CN điện - điện tử 12 CD
5 phút giải THUD 12 CD
5 phút giải KHMT 12 CD
5 phút giải HĐTN 12 CD
5 phút giải ANQP 12 CD
Giải chuyên đề học tập lớp 12 kết nối tri thức
Giải chuyên đề Ngữ văn 12 Kết nối tri thức
Giải chuyên đề Toán 12 Kết nối tri thức
Giải chuyên đề Vật lí 12 Kết nối tri thức
Giải chuyên đề Hóa học 12 Kết nối tri thức
Giải chuyên đề Sinh học 12 Kết nối tri thức
Giải chuyên đề Kinh tế pháp luật 12 Kết nối tri thức
Giải chuyên đề Lịch sử 12 Kết nối tri thức
Giải chuyên đề Địa lí 12 Kết nối tri thức
Giải chuyên đề Tin học ứng dụng 12 Kết nối tri thức
Giải chuyên đề Khoa học máy tính 12 Kết nối tri thức
Giải chuyên đề Công nghệ 12 Điện - điện tử Kết nối tri thức
Giải chuyên đề Công nghệ 12 Lâm nghiệp thủy sản Kết nối tri thức
Giải chuyên đề học tập lớp 12 chân trời sáng tạo
Giải chuyên đề Ngữ văn 12 Chân trời sáng tạo
Giải chuyên đề Toán 12 Chân trời sáng tạo
Giải chuyên đề Vật lí 12 Chân trời sáng tạo
Giải chuyên đề Hóa học 12 Chân trời sáng tạo
Giải chuyên đề Sinh học 12 Chân trời sáng tạo
Giải chuyên đề Kinh tế pháp luật 12 Chân trời sáng tạo
Giải chuyên đề Lịch sử 12 Chân trời sáng tạo
Giải chuyên đề Địa lí 12 Chân trời sáng tạo
Giải chuyên đề Tin học ứng dụng 12 Chân trời sáng tạo
Giải chuyên đề Khoa học máy tính 12 Chân trời sáng tạo
Giải chuyên đề Công nghệ 12 Điện - điện tử Chân trời sáng tạo
Giải chuyên đề Công nghệ 12 Lâm nghiệp thủy sản Chân trời sáng tạo
Giải chuyên đề học tập lớp 12 cánh diều
Giải chuyên đề Ngữ văn 12 Cánh diều
Giải chuyên đề Toán 12 Cánh diều
Giải chuyên đề Vật lí 12 Cánh diều
Giải chuyên đề Hóa học 12 Cánh diều
Giải chuyên đề Sinh học 12 Cánh diều
Giải chuyên đề Kinh tế pháp luật 12 Cánh diều
Giải chuyên đề Lịch sử 12 Cánh diều
Giải chuyên đề Địa lí 12 Cánh diều
Giải chuyên đề Tin học ứng dụng 12 Cánh diều
Giải chuyên đề Khoa học máy tính 12 Cánh diều
Giải chuyên đề Công nghệ 12 Điện - điện tử Cánh diều
Giải chuyên đề Công nghệ 12 Lâm nghiệp thủy sản Cánh diều
Bình luận