Câu hỏi tự luận mức độ vận dụng cao Toán 12 cd Bài 3: Phương trình mặt cầu
4. VẬN DỤNG CAO (3 câu)
Câu 1: Trong không gian với hệ trục tọa độ
, cho hai đường thẳng
và
. Xác định toạ độ tâm và bán kính của mặt cầu
có một đường kính là đoạn thẳng vuông góc chung của
và
.
Câu 2: Trong không gian với hệ trục tọa độ
, cho hai điểm
và
. Lập phương trình mặt cầu
có tâm là tâm đường tròn nội tiếp tam giác
và tiếp xúc với mặt phẳng
.
Câu 3: Trong không gian với hệ trục tọa độ
, cho ba đường thẳng
;
và
. Viết phương trình mặt cầu
tiếp xúc với cả
và có tâm thuộc đường thẳng
.
Câu 1:
Vectơ chỉ phương của
và
lần lượt là
và ![]()
Gọi
là đoạn thẳng vuông góc chung của
và
, với
và ![]()
Suy ra
và ![]()
Khi đó ![]()
Vì
là đoạn thẳng vuông góc chung của
và
nên:
và ![]()
![]()
![]()
![]()
![]()
![]()
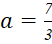
Giải hệ hai phương trình trên ta được:
và ![]()
Suy ra
và ![]()
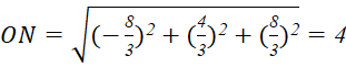
Mặt cầu
đường kính
có tâm
là trung điểm của
và bán kính
.
Câu 2:
Gọi
là tâm của mặt cầu
và tâm đường tròn nội tiếp tam giác ![]()
Áp dụng tính chất
là tâm đường tròn nội tiếp tam giác
, ta có:
![]()
Suy ra:
;
; ![]()
Ta có:
;
; ![]()
Khi đó:
;
; ![]()
Vậy tâm ![]()
Mặt cầu
tiếp xúc với mặt phẳng
nên khoảng cách từ tâm
chính là độ dài bán kính
của mặt cầu.
Ta có: ![]()
Vậy phương trình mặt cầu
là: ![]()
Câu 3:
Đường thẳng
có vectơ chỉ phương
và đi qua điểm
Đường thẳng
có vectơ chỉ phương
và đi qua điểm ![]()
Tâm
của mặt cầu
thuộc đường thẳng
nên ![]()
Khi đó:
và ![]()
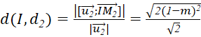
Vì mặt cầu
tiếp xúc với cả
nên: ![]()
Ta có:
; ![]()
Suy ra ![]()
Do đó
và
.
Vậy phương trình mặt cầu
là: ![]()
Giải những bài tập khác
Giải bài tập những môn khác
Môn học lớp 12 KNTT
5 phút giải toán 12 KNTT
5 phút soạn bài văn 12 KNTT
Văn mẫu 12 KNTT
5 phút giải vật lí 12 KNTT
5 phút giải hoá học 12 KNTT
5 phút giải sinh học 12 KNTT
5 phút giải KTPL 12 KNTT
5 phút giải lịch sử 12 KNTT
5 phút giải địa lí 12 KNTT
5 phút giải CN lâm nghiệp 12 KNTT
5 phút giải CN điện - điện tử 12 KNTT
5 phút giải THUD12 KNTT
5 phút giải KHMT12 KNTT
5 phút giải HĐTN 12 KNTT
5 phút giải ANQP 12 KNTT
Môn học lớp 12 CTST
5 phút giải toán 12 CTST
5 phút soạn bài văn 12 CTST
Văn mẫu 12 CTST
5 phút giải vật lí 12 CTST
5 phút giải hoá học 12 CTST
5 phút giải sinh học 12 CTST
5 phút giải KTPL 12 CTST
5 phút giải lịch sử 12 CTST
5 phút giải địa lí 12 CTST
5 phút giải THUD 12 CTST
5 phút giải KHMT 12 CTST
5 phút giải HĐTN 12 bản 1 CTST
5 phút giải HĐTN 12 bản 2 CTST
Môn học lớp 12 cánh diều
5 phút giải toán 12 CD
5 phút soạn bài văn 12 CD
Văn mẫu 12 CD
5 phút giải vật lí 12 CD
5 phút giải hoá học 12 CD
5 phút giải sinh học 12 CD
5 phút giải KTPL 12 CD
5 phút giải lịch sử 12 CD
5 phút giải địa lí 12 CD
5 phút giải CN lâm nghiệp 12 CD
5 phút giải CN điện - điện tử 12 CD
5 phút giải THUD 12 CD
5 phút giải KHMT 12 CD
5 phút giải HĐTN 12 CD
5 phút giải ANQP 12 CD
Giải chuyên đề học tập lớp 12 kết nối tri thức
Giải chuyên đề Ngữ văn 12 Kết nối tri thức
Giải chuyên đề Toán 12 Kết nối tri thức
Giải chuyên đề Vật lí 12 Kết nối tri thức
Giải chuyên đề Hóa học 12 Kết nối tri thức
Giải chuyên đề Sinh học 12 Kết nối tri thức
Giải chuyên đề Kinh tế pháp luật 12 Kết nối tri thức
Giải chuyên đề Lịch sử 12 Kết nối tri thức
Giải chuyên đề Địa lí 12 Kết nối tri thức
Giải chuyên đề Tin học ứng dụng 12 Kết nối tri thức
Giải chuyên đề Khoa học máy tính 12 Kết nối tri thức
Giải chuyên đề Công nghệ 12 Điện - điện tử Kết nối tri thức
Giải chuyên đề Công nghệ 12 Lâm nghiệp thủy sản Kết nối tri thức
Giải chuyên đề học tập lớp 12 chân trời sáng tạo
Giải chuyên đề Ngữ văn 12 Chân trời sáng tạo
Giải chuyên đề Toán 12 Chân trời sáng tạo
Giải chuyên đề Vật lí 12 Chân trời sáng tạo
Giải chuyên đề Hóa học 12 Chân trời sáng tạo
Giải chuyên đề Sinh học 12 Chân trời sáng tạo
Giải chuyên đề Kinh tế pháp luật 12 Chân trời sáng tạo
Giải chuyên đề Lịch sử 12 Chân trời sáng tạo
Giải chuyên đề Địa lí 12 Chân trời sáng tạo
Giải chuyên đề Tin học ứng dụng 12 Chân trời sáng tạo
Giải chuyên đề Khoa học máy tính 12 Chân trời sáng tạo
Giải chuyên đề Công nghệ 12 Điện - điện tử Chân trời sáng tạo
Giải chuyên đề Công nghệ 12 Lâm nghiệp thủy sản Chân trời sáng tạo
Giải chuyên đề học tập lớp 12 cánh diều
Giải chuyên đề Ngữ văn 12 Cánh diều
Giải chuyên đề Toán 12 Cánh diều
Giải chuyên đề Vật lí 12 Cánh diều
Giải chuyên đề Hóa học 12 Cánh diều
Giải chuyên đề Sinh học 12 Cánh diều
Giải chuyên đề Kinh tế pháp luật 12 Cánh diều
Giải chuyên đề Lịch sử 12 Cánh diều
Giải chuyên đề Địa lí 12 Cánh diều
Giải chuyên đề Tin học ứng dụng 12 Cánh diều
Giải chuyên đề Khoa học máy tính 12 Cánh diều
Giải chuyên đề Công nghệ 12 Điện - điện tử Cánh diều
Giải chuyên đề Công nghệ 12 Lâm nghiệp thủy sản Cánh diều
Bình luận