Câu hỏi tự luận mức độ vận dụng cao Toán 12 cd Bài 1: Phương trình mặt phẳng
4. VẬN DỤNG CAO (3 câu)
Câu 1: Trong không gian với hệ tọa độ cho điểm
và đường thẳng
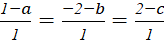
có phương trình
. Gọi
là mặt phẳng đi qua điểm
, song song với đường thẳng
và khoảng cách từ đường thẳng
tới mặt phẳng
là lớn nhất. Viết phương trình mặt phẳng
.
Câu 2: Trong không gian với hệ tọa độ , cho ba điểm
,
và mặt phẳng
. Tìm điểm
thuộc mặt phẳng
sao cho
đạt giá trị nhỏ nhất.
Câu 3: Một vật trang trí có đế dạng khối chóp cụt đều có chiều cao 3 cm,
,
. Gọi
là giao điểm của
và
,
là giao điểm của
và
. Với hệ trục toạ độ như hình dưới, mặt phẳng
cắt tia
tại điểm
. Tìm tọa độ điểm
.
Câu 1:
Gọi là hình chiếu vuông góc của
lên
, khi đó
Suy ra
Do và
vuông góc với nhau nên
, suy ra:
Ta có:
Do đó khoảng cách từ đường thẳng tới mặt phẳng
là lớn nhất bằng
khi và chỉ khi mặt phẳng
đi qua A và vuông góc với
, suy ra
là một vectơ pháp tuyến của mặt phẳng
Vậy phương trình mặt phẳng là:
Câu 2:
Gọi là trọn tâm của tam giác
Ta có:
Suy ra:
Do đó đạt giá trị nhỏ nhất
nhỏ nhất
là hình chiếu của
lên
Gọi
Mặt phẳng có vectơ pháp tuyến
, do
là hình chiếu của
lên
nên hai vectơ
và
cùng phương, suy ra:
và
Vậy
Câu 3:
là hình vuông,
,
là hình vuông,
Ta có:
Mặt phẳng có một cặp vectơ chỉ phương là
và
, nên vectơ pháp tuyến của
là
Vậy phương trình mặt phẳng là:
Mặt phẳng cắt tia
tại điểm
nên toạ độ của
có dạng
và:
Vậy .
Giải những bài tập khác
Giải bài tập những môn khác
Môn học lớp 12 KNTT
5 phút giải toán 12 KNTT
5 phút soạn bài văn 12 KNTT
Văn mẫu 12 KNTT
5 phút giải vật lí 12 KNTT
5 phút giải hoá học 12 KNTT
5 phút giải sinh học 12 KNTT
5 phút giải KTPL 12 KNTT
5 phút giải lịch sử 12 KNTT
5 phút giải địa lí 12 KNTT
5 phút giải CN lâm nghiệp 12 KNTT
5 phút giải CN điện - điện tử 12 KNTT
5 phút giải THUD12 KNTT
5 phút giải KHMT12 KNTT
5 phút giải HĐTN 12 KNTT
5 phút giải ANQP 12 KNTT
Môn học lớp 12 CTST
5 phút giải toán 12 CTST
5 phút soạn bài văn 12 CTST
Văn mẫu 12 CTST
5 phút giải vật lí 12 CTST
5 phút giải hoá học 12 CTST
5 phút giải sinh học 12 CTST
5 phút giải KTPL 12 CTST
5 phút giải lịch sử 12 CTST
5 phút giải địa lí 12 CTST
5 phút giải THUD 12 CTST
5 phút giải KHMT 12 CTST
5 phút giải HĐTN 12 bản 1 CTST
5 phút giải HĐTN 12 bản 2 CTST
Môn học lớp 12 cánh diều
5 phút giải toán 12 CD
5 phút soạn bài văn 12 CD
Văn mẫu 12 CD
5 phút giải vật lí 12 CD
5 phút giải hoá học 12 CD
5 phút giải sinh học 12 CD
5 phút giải KTPL 12 CD
5 phút giải lịch sử 12 CD
5 phút giải địa lí 12 CD
5 phút giải CN lâm nghiệp 12 CD
5 phút giải CN điện - điện tử 12 CD
5 phút giải THUD 12 CD
5 phút giải KHMT 12 CD
5 phút giải HĐTN 12 CD
5 phút giải ANQP 12 CD
Giải chuyên đề học tập lớp 12 kết nối tri thức
Giải chuyên đề Ngữ văn 12 Kết nối tri thức
Giải chuyên đề Toán 12 Kết nối tri thức
Giải chuyên đề Vật lí 12 Kết nối tri thức
Giải chuyên đề Hóa học 12 Kết nối tri thức
Giải chuyên đề Sinh học 12 Kết nối tri thức
Giải chuyên đề Kinh tế pháp luật 12 Kết nối tri thức
Giải chuyên đề Lịch sử 12 Kết nối tri thức
Giải chuyên đề Địa lí 12 Kết nối tri thức
Giải chuyên đề Tin học ứng dụng 12 Kết nối tri thức
Giải chuyên đề Khoa học máy tính 12 Kết nối tri thức
Giải chuyên đề Công nghệ 12 Điện - điện tử Kết nối tri thức
Giải chuyên đề Công nghệ 12 Lâm nghiệp thủy sản Kết nối tri thức
Giải chuyên đề học tập lớp 12 chân trời sáng tạo
Giải chuyên đề Ngữ văn 12 Chân trời sáng tạo
Giải chuyên đề Toán 12 Chân trời sáng tạo
Giải chuyên đề Vật lí 12 Chân trời sáng tạo
Giải chuyên đề Hóa học 12 Chân trời sáng tạo
Giải chuyên đề Sinh học 12 Chân trời sáng tạo
Giải chuyên đề Kinh tế pháp luật 12 Chân trời sáng tạo
Giải chuyên đề Lịch sử 12 Chân trời sáng tạo
Giải chuyên đề Địa lí 12 Chân trời sáng tạo
Giải chuyên đề Tin học ứng dụng 12 Chân trời sáng tạo
Giải chuyên đề Khoa học máy tính 12 Chân trời sáng tạo
Giải chuyên đề Công nghệ 12 Điện - điện tử Chân trời sáng tạo
Giải chuyên đề Công nghệ 12 Lâm nghiệp thủy sản Chân trời sáng tạo
Giải chuyên đề học tập lớp 12 cánh diều
Giải chuyên đề Ngữ văn 12 Cánh diều
Giải chuyên đề Toán 12 Cánh diều
Giải chuyên đề Vật lí 12 Cánh diều
Giải chuyên đề Hóa học 12 Cánh diều
Giải chuyên đề Sinh học 12 Cánh diều
Giải chuyên đề Kinh tế pháp luật 12 Cánh diều
Giải chuyên đề Lịch sử 12 Cánh diều
Giải chuyên đề Địa lí 12 Cánh diều
Giải chuyên đề Tin học ứng dụng 12 Cánh diều
Giải chuyên đề Khoa học máy tính 12 Cánh diều
Giải chuyên đề Công nghệ 12 Điện - điện tử Cánh diều
Giải chuyên đề Công nghệ 12 Lâm nghiệp thủy sản Cánh diều
Bình luận