Câu hỏi tự luận mức độ thông hiểu Toán 12 kntt Bài 9: Khoảng biến thiên và khoảng tứ phân vị
2. THÔNG HIỂU (5 CÂU)
Câu 1: Thời gian hoàn thành bài kiểm tra môn Toán của các bạn trong lớp 12C được cho trong bảng sau:
Thời gian (phút) | [25;30) | [30;35) | [35;40) | [40;45) |
Số học sinh | 8 | 16 | 4 | 2 |
Nếu biết học sinh hoàn thành bài kiểm tra sớm nhất mất 27 phút và muộn nhất mất 43 phút thì khoảng biến thiên của mẫu số liệu gốc là bao nhiêu?
Câu 2: Để đánh giá chất lượng một loại pin điện thoại mới, người ta ghi lại thời gian nghe nhạc liên tục của điện thoại được sạc đầy pin cho đến khi hết pin cho kết quả sau:
Thời gian (giờ) | [5; 5,5) | [5,5; 6) | [6; 6,5) | [6,5; 7) | [7; 7,5) |
Số chiếc điện thoại (tần số) | 2 | 8 | 15 | 10 | 5 |
Tính khoảng biến thiên, khoảng tứ phân vị của mẫu số liệu ghép nhóm trên.
Câu 3: Một người ghi lại thời gian đàm thoại của một số cuộc gọi cho kết quả như bảng sau:
Thời gian t (phút) | Số cuộc gọi |
| 8 |
| 17 |
| 25 |
| 20 |
| 10 |
Tính khoảng tứ phân vị của mẫu số liệu ghép nhóm.
Câu 4: Hai bảng tần số ghép nhóm dưới đây thống kê theo độ tuổi số lượng thành viên nam và thành viên nữ đang sinh hoạt trong một câu lạc bộ dưỡng sinh.

Hãy tính các khoảng tứ phân vị của tuổi nam giới và nữ giới trong mỗi bảng số liệu ghép nhóm trên.
2. THÔNG HIỂU (5 CÂU)
Câu 1:
Nếu biết học sinh hoàn thành bài kiểm tra sớm nhất mất 27 phút và muộn nhất mất 43 phút thì khoảng biến thiên của mẫu số liệu gốc là 43 – 27 = 16.
Câu 2:
Khoảng biến thiên: R = 7,5 – 5 = 2,5.
Khoảng tứ phân vị ![]()
Khoảng biến thiên: R = 7,5 – 5 = 2,5.
Cỡ mẫu là n = 2 + 8 + 15 + 10 + 5 = 40.
Gọi x1; x2; …; x40 thời gian nghe nhạc liên tục của điện thoại được sạc đầy pin cho đến khi hết pin và được sắp xếp theo thứ tự tăng dần.
Tứ phân vị thứ nhất của mẫu số liệu gốc là
.
Mà
[5,5; 6);
[6; 6,5). Do đó Q1 = 6.
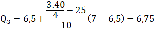
Tứ phân vị thứ ba của mẫu số liệu gốc là
[6,5; 7) nên nhóm chứa tứ phân vị thứ ba là [6,5; 7).

Khoảng tứ phân vị
Q3 – Q1 = 6,75 – 6 = 0,75.
Câu 3:
Ta có bảng mẫu số liệu ghép nhóm được viết lại như sau
Thời gian t (phút) | [0;1) | [1; 2) | [2; 3) | [3; 4) | [4; 5) |
Số cuộc gọi | 8 | 17 | 25 | 20 | 10 |
Có cỡ mẫu n = 8 + 17 + 25 + 20 + 10 = 80.
Giả sử x1; x2; …; x80 là thời gian đàm thoại của 80 cuộc gọi được sắp xếp theo thứ tự tăng dần.
Ta có tứ phân vị thứ nhất của mẫu số liệu gốc là
[1; 2) nên nhóm chứa tứ phân vị thứ nhất là [1; 2).

Tứ phân vị thứ ba của mẫu số liệu là
[3; 4) nên nhóm chứa tứ phân vị thứ ba là [3; 4).

Khoảng tứ phân vị của mẫu số liệu ghép nhóm là: ![]()
Câu 4:
Nam giới:
Cỡ mẫu n = 4 + 7 + 4 + 6 + 15 + 12 + 2 = 50.
Gọi x1; x2; …; x50 là mẫu số liệu gốc về tuổi của nam giới đang sinh hoạt trong câu lạc bộ dưỡng sinh được xếp theo thứ tự không giảm.
Ta có
[50; 55),
[55; 60),
[60; 65),
[65; 70),
[70; 75),
[75; 80),
[80; 85).
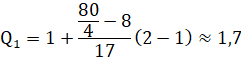
Tứ phân vị thứ nhất của mẫu số liệu gốc là
[60; 65). Do đó, tứ phân vị thứ nhất của mẫu số liệu ghép nhóm là:

Tứ phân vị thứ ba của mẫu số liệu gốc là
[75; 80). Do đó, tứ phân vị thứ ba của mẫu số liệu ghép nhóm là:
.
Khoảng tứ phân vị của mẫu số liệu ghép nhóm về tuổi của nam giới đang sinh hoạt trong câu lạc bộ dưỡng sinh là:
![]()
Nữ giới:
Cỡ mẫu n' = 3 + 4 + 5 + 3 + 7 + 14 + 13 + 1 = 50.
Gọi
là mẫu số liệu gốc về tuổi của nữ giới đang sinh hoạt trong câu lạc bộ dưỡng sinh được xếp theo thứ tự không giảm.
Ta có
[50; 55),
[55; 60),
[60; 65),
[65; 70),
[70; 75),
[75; 80),
[80; 85),
[85; 90).
Tứ phân vị thứ nhất của mẫu số liệu gốc là
[65; 70). Do đó, tứ phân vị thứ nhất của mẫu số liệu ghép nhóm là:

Tứ phân vị thứ ba của mẫu số liệu gốc là
[80; 85). Do đó, tứ phân vị thứ ba của mẫu số liệu ghép nhóm là

Khoảng tứ phân vị của mẫu số liệu ghép nhóm về tuổi của nữ giới đang sinh hoạt trong câu lạc bộ dưỡng sinh là:
![]()
Giải những bài tập khác
Giải bài tập những môn khác
Môn học lớp 12 KNTT
5 phút giải toán 12 KNTT
5 phút soạn bài văn 12 KNTT
Văn mẫu 12 KNTT
5 phút giải vật lí 12 KNTT
5 phút giải hoá học 12 KNTT
5 phút giải sinh học 12 KNTT
5 phút giải KTPL 12 KNTT
5 phút giải lịch sử 12 KNTT
5 phút giải địa lí 12 KNTT
5 phút giải CN lâm nghiệp 12 KNTT
5 phút giải CN điện - điện tử 12 KNTT
5 phút giải THUD12 KNTT
5 phút giải KHMT12 KNTT
5 phút giải HĐTN 12 KNTT
5 phút giải ANQP 12 KNTT
Môn học lớp 12 CTST
5 phút giải toán 12 CTST
5 phút soạn bài văn 12 CTST
Văn mẫu 12 CTST
5 phút giải vật lí 12 CTST
5 phút giải hoá học 12 CTST
5 phút giải sinh học 12 CTST
5 phút giải KTPL 12 CTST
5 phút giải lịch sử 12 CTST
5 phút giải địa lí 12 CTST
5 phút giải THUD 12 CTST
5 phút giải KHMT 12 CTST
5 phút giải HĐTN 12 bản 1 CTST
5 phút giải HĐTN 12 bản 2 CTST
Môn học lớp 12 cánh diều
5 phút giải toán 12 CD
5 phút soạn bài văn 12 CD
Văn mẫu 12 CD
5 phút giải vật lí 12 CD
5 phút giải hoá học 12 CD
5 phút giải sinh học 12 CD
5 phút giải KTPL 12 CD
5 phút giải lịch sử 12 CD
5 phút giải địa lí 12 CD
5 phút giải CN lâm nghiệp 12 CD
5 phút giải CN điện - điện tử 12 CD
5 phút giải THUD 12 CD
5 phút giải KHMT 12 CD
5 phút giải HĐTN 12 CD
5 phút giải ANQP 12 CD
Giải chuyên đề học tập lớp 12 kết nối tri thức
Giải chuyên đề Ngữ văn 12 Kết nối tri thức
Giải chuyên đề Toán 12 Kết nối tri thức
Giải chuyên đề Vật lí 12 Kết nối tri thức
Giải chuyên đề Hóa học 12 Kết nối tri thức
Giải chuyên đề Sinh học 12 Kết nối tri thức
Giải chuyên đề Kinh tế pháp luật 12 Kết nối tri thức
Giải chuyên đề Lịch sử 12 Kết nối tri thức
Giải chuyên đề Địa lí 12 Kết nối tri thức
Giải chuyên đề Tin học ứng dụng 12 Kết nối tri thức
Giải chuyên đề Khoa học máy tính 12 Kết nối tri thức
Giải chuyên đề Công nghệ 12 Điện - điện tử Kết nối tri thức
Giải chuyên đề Công nghệ 12 Lâm nghiệp thủy sản Kết nối tri thức
Giải chuyên đề học tập lớp 12 chân trời sáng tạo
Giải chuyên đề Ngữ văn 12 Chân trời sáng tạo
Giải chuyên đề Toán 12 Chân trời sáng tạo
Giải chuyên đề Vật lí 12 Chân trời sáng tạo
Giải chuyên đề Hóa học 12 Chân trời sáng tạo
Giải chuyên đề Sinh học 12 Chân trời sáng tạo
Giải chuyên đề Kinh tế pháp luật 12 Chân trời sáng tạo
Giải chuyên đề Lịch sử 12 Chân trời sáng tạo
Giải chuyên đề Địa lí 12 Chân trời sáng tạo
Giải chuyên đề Tin học ứng dụng 12 Chân trời sáng tạo
Giải chuyên đề Khoa học máy tính 12 Chân trời sáng tạo
Giải chuyên đề Công nghệ 12 Điện - điện tử Chân trời sáng tạo
Giải chuyên đề Công nghệ 12 Lâm nghiệp thủy sản Chân trời sáng tạo
Giải chuyên đề học tập lớp 12 cánh diều
Giải chuyên đề Ngữ văn 12 Cánh diều
Giải chuyên đề Toán 12 Cánh diều
Giải chuyên đề Vật lí 12 Cánh diều
Giải chuyên đề Hóa học 12 Cánh diều
Giải chuyên đề Sinh học 12 Cánh diều
Giải chuyên đề Kinh tế pháp luật 12 Cánh diều
Giải chuyên đề Lịch sử 12 Cánh diều
Giải chuyên đề Địa lí 12 Cánh diều
Giải chuyên đề Tin học ứng dụng 12 Cánh diều
Giải chuyên đề Khoa học máy tính 12 Cánh diều
Giải chuyên đề Công nghệ 12 Điện - điện tử Cánh diều
Giải chuyên đề Công nghệ 12 Lâm nghiệp thủy sản Cánh diều
Bình luận