Câu hỏi tự luận mức độ vận dụng Toán 9 CTST bài 2: Tiếp tuyến của đường tròn
3. VẬN DỤNG (8 câu)
Câu 1: Cho
vuông tại A, AH là đường cao,
. Gọi D là điểm đối xứng với B qua H. Vẽ đường tròn đường kính CD cắt AC ở E.
a) Chứng minh rằng HE là tiếp tuyến của đường tròn.
b) Tính độ dài đoạn thẳng HE.
Câu 2:Cho tam giác ABC cân tại A nội tiếp đường tròn tâm (O). Vẽ hình bình hành ABCD, tiếp tuyến tại C của đường tròn cắt đường thẳng AD tại N. Chứng minh rằng :
a) Đường thẳng AD là tiếp tuyến của đường tròn (O).
b)
đồng quy.
Câu 3: Cho đường tròn
đường kính AB, vẽ
tại trung điểm I của OA. Các tiếp tuyến với đường tròn tại C và D cắt nhau ở M.
a) Chứng minh rằng
thẳng hàng.
b) Tứ giác OCAD là hình gì ?
c) Tính
.
d) Chứng minh đường thẳng MC là tiếp tuyến của đường tròn
.
Câu 4: Cho đường tròn
, bán kính OA, dây CD là trung trực của OA. Kẻ tiếp tuyến với đường tròn (O) tại C, tiếp tuyến này cắt đường thẳng OA tại I.
a) Chứng minh
là tam giác đều.
b) Chứng minh tứ giác OCAD là hình thoi.
c) Tính CI theo R.
Câu 5: Cho nửa đường tròn tâm
đường kính AB. Một đường thẳng xy tiếp xúc với đường tròn tại C. Gọi D và E lần lượt là hình chiếu của A và B trên xy. Chứng minh rằng:
a) C là trung điểm của DE.
b) Tổng
không đổi khi C di động trên nửa đường tròn.
c) Tích
.
Câu 6: Cho đường tròn
và dây
. Vẽ một tiếp tuyến song song với AB, nó cắt các tia OA và OB theo thứ tự tại M và N. Tính diện tích
.
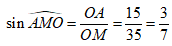
Câu 7: Bánh đà của một động cơ được thiết kế có dạng là một đường tròn tâm O, bán kính 15 cm được kéo bởi một dây curoa. Trục của mô tơ truyền lực được biểu diễn bởi điểm M (Hình vẽ). Cho biết khoảng cách OM là 35 cm.
a) Tính độ dài của hai đoạn dây curoa MA và MB (kết quả làm tròn đến hàng phần mười).

b) Tính số đo
tạo bởi hai tiếp tuyến AM, BM và số đo
(kết quả làm tròn đến phút).
Câu 8: Từ điểm P nằm ngoài đường tròn
vẽ hai tiếp tuyến
với A và B là các tiếp điểm. Gọi H là chân đường vuông góc vẽ từ A đến đường kính BC. Chứng minh rằng PC cắt AH tại trung điểm I của AH.
Câu 1:

a. Xét ![]()
Xét
có AH là đường cao đồng thời là đường trung tuyến nên
cân tại A,
là tam giác đều.
+) Ta có
cân tại O
Có:
đều
là tiếp tuyến của đường tròn đường kính CD.
b. Xét ![]()
Câu 2:

a) Ta có
cân tại ![]()
Vì tứ giác ABCD là hình bình hành ![]()
![]()
Từ
đpcm
b. ) Gọi I là giao điểm của AC và
là trung điểm của
(
là tiếp tuyến)
đồng quy (đpcm).
Câu 3:

a) AB là trung trực của CD, có
(tính chất tiếp tuyến) => m thuộc đường trung trực của
thẳng hàng
b) Tứ giác OCAD có hai đường chéo vuông góc tại trung điểm mỗi đường nên là hình thoi
c)
có
nên là tam giác đều
![]()
d) Hạ BK vuông góc MC, ta có:
là phân giác ![]()
là phân giác của
đpcm
(dựa vào tính chất hai tia phân giác của hai góc kề bù thì vuông góc với nhau)
Ta có:
là hai góc kề bù, CA là phân giác ![]()
là phân giác ![]()
d.
là hình thoi
đều ![]()
Câu 4:

a) Gọi J là giao điểm của OA và CD
Do CD là đường trung trực của OA nên ![]()
Vậy
là tam giác đều
b) Chứng minh tương tự: ![]()
Từ ![]()
là hình thoi
c) Xét
, ta có: ![]()
![]()
Câu 5:

a) Nối OC ta được ![]()
Ta có: ![]()
Mặt khác ![]()
b) Kẻ ![]()
Xét hai tam giác vuông
và
có:
+) ![]()
+) 
Chứng minh được: ![]()
Điểm C nằm trên nửa đường tròn đường kính AB nên
vuông tại C
Vậy ![]()
Từ
đpcm.
Câu 6:

Nối OH ta được
(tính chất tiếp tuyến)
Ta lại có ![]()
Theo tính chất đường kính vuông góc với một dây ta được:
![]()
Tam giác IOA vuông tại ![]()
Xét
có
(tỉ số hai đường cao tương ứng bằng tỉ số đồng dạng) ![]()
Diện tích tam giác MON là: ![]()
Câu 7:
a) Ta có MA, MB lần lượt là hai tiếp tuyến của đường tròn (O; 15 cm) tại A, B và cắt nhau tại M nên MA ⊥ OA, MB ⊥ OB và MA = MB.
Xét ∆OAM vuông tại A, theo định lí Pythagore ta có: OM2 = OA2 + MA2.
Suy ra MA2 = OM2 – OA2 = 352 – 152 = 1000.
Do đó ![]()
Vậy
.
b) Xét ∆OAM vuông tại A, ta có:
.
Suy ra ![]()
Vì MA, MB là hai tiếp tuyến của đường tròn (O; 15 cm) cắt nhau tại M nên MA là tia phân giác của góc AMB.
Do đó ![]()
Xét tứ giác OAMB có:
(tổng các góc của một tứ giác).
Suy ra ![]()
Câu 8:

CA cắt BP tại D;
(A thuộc đường tròn đường kính BC)
(tính chất tiếp tuyến) ![]()
có
, do đó ![]()
![]()
có
có ![]()
Từ
đpcm.
Giải những bài tập khác
Giải bài tập những môn khác
Môn học lớp 9 KNTT
5 phút giải toán 9 KNTT
5 phút soạn bài văn 9 KNTT
Văn mẫu 9 kết nối tri thức
5 phút giải KHTN 9 KNTT
5 phút giải lịch sử 9 KNTT
5 phút giải địa lí 9 KNTT
5 phút giải hướng nghiệp 9 KNTT
5 phút giải lắp mạng điện 9 KNTT
5 phút giải trồng trọt 9 KNTT
5 phút giải CN thực phẩm 9 KNTT
5 phút giải tin học 9 KNTT
5 phút giải GDCD 9 KNTT
5 phút giải HĐTN 9 KNTT
Môn học lớp 9 CTST
5 phút giải toán 9 CTST
5 phút soạn bài văn 9 CTST
Văn mẫu 9 chân trời sáng tạo
5 phút giải KHTN 9 CTST
5 phút giải lịch sử 9 CTST
5 phút giải địa lí 9 CTST
5 phút giải hướng nghiệp 9 CTST
5 phút giải lắp mạng điện 9 CTST
5 phút giải cắt may 9 CTST
5 phút giải nông nghiệp 9 CTST
5 phút giải tin học 9 CTST
5 phút giải GDCD 9 CTST
5 phút giải HĐTN 9 bản 1 CTST
5 phút giải HĐTN 9 bản 2 CTST
Môn học lớp 9 cánh diều
5 phút giải toán 9 CD
5 phút soạn bài văn 9 CD
Văn mẫu 9 cánh diều
5 phút giải KHTN 9 CD
5 phút giải lịch sử 9 CD
5 phút giải địa lí 9 CD
5 phút giải hướng nghiệp 9 CD
5 phút giải lắp mạng điện 9 CD
5 phút giải trồng trọt 9 CD
5 phút giải CN thực phẩm 9 CD
5 phút giải tin học 9 CD
5 phút giải GDCD 9 CD
5 phút giải HĐTN 9 CD
Trắc nghiệm 9 Kết nối tri thức
Trắc nghiệm 9 Chân trời sáng tạo
Trắc nghiệm 9 Cánh diều
Tài liệu lớp 9
Văn mẫu lớp 9
Đề thi lên 10 Toán
Đề thi môn Hóa 9
Đề thi môn Địa lớp 9
Đề thi môn vật lí 9
Tập bản đồ địa lí 9
Ôn toán 9 lên 10
Ôn Ngữ văn 9 lên 10
Ôn Tiếng Anh 9 lên 10
Đề thi lên 10 chuyên Toán
Chuyên đề ôn tập Hóa 9
Chuyên đề ôn tập Sử lớp 9
Chuyên đề toán 9
Chuyên đề Địa Lý 9
Phát triển năng lực toán 9 tập 1
Bài tập phát triển năng lực toán 9
Bình luận