Câu hỏi tự luận mức độ thông hiểu Toán 9 CTST bài 2: Tiếp tuyến của đường tròn
2. THÔNG HIỂU (6 câu)
Câu 1: Cho điểm M cách đường thẳng xy một đoạn bằng 6cm, vẽ đường tròn ![]()
a) Chứng minh rằng đường tròn tâm M và đường thẳng xy cắt nhau
b) Gọi hai giao điểm là P và Q. Tính PQ
Câu 2: Cho hình vuông ABCD, trên đường chéo BD lấy điểm I sao cho BI=BA. Đường thẳng kẻ qua I vuông góc với BD cắt AD ở E.
a) So sánh: ![]()
b) Xác định vị trí tương đối của đường thẳng BD với đường tròn ![]()
Câu 3: Từ điểm A nằm bên ngoài đường tròn
sao cho
. Kẻ tia
tạo với OA một góc
. Gọi H là hình chiếu của O trên tia Ax. Xét vị trí tương đối của tia Ax và đường tròn (O).
Câu 4: Cho điểm A cách đường thẳng xy một khoảng 12 cm
a) Chứng minh
cắt đường thẳng xy tại hai điểm phân biệt
b) Gọi hai giao điểm của
với xy là B,C. Tính độ dài đoạn thẳng BC
Câu 5: Cho
vuông cân tại A. Vẽ tia phân giác BI
a) Chứng minh rằng đường tròn
tiếp xúc với đường thẳng ![]()
b) Cho biết AB=a. Tính IA theo a.
Câu 6: Hai tiếp tuyến tại B và C của đường tròn
cắt nhau ở A.
a) Chứng minh AO là trung trực của đoạn thẳng BC.
b) Vẽ đường kính CD của
. Chứng minh
.
Câu 1:

a) Kẻ
là khoảng cách từ M đến xy
cắt
tại P và Q
b) Xét tam giác PMQ cân tại M và
nên MH cũng là đường trung tuyến
![]()
Xét
Câu 2:

a) Ta có :
vuông cân
Từ (1)(2) ![]()
b) Ta lại có ![]()
mặt khác:
đường thẳng BD tiếp xúc với
Câu 3:

Từ
vuông tại H, ta có: ![]()
(bán kính)
Vậy tia
và đường tròn
cắt nhau tại hai điểm.
Câu 4:

a) Kẻ
cắt xy tại hai điểm B và C
b) Tính được : ![]()
Câu 5:

a) Ta có
tiếp xúc với BA tại A
mặt khác BI là tia phân giác của ![]()
Do đó đường tròn
tiếp xúc với BC
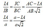
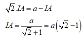
b) Áp dụng tính chất tia phân giác trong
, ta có:


Câu 6:

a) Theo tính chất hai tiếp tuyến cắt nhau ta có: AB=AC
=> A thuộc đường trung trực của BC
Lại có:
thuộc đường trung trực của BC
Vậy AO là đường trung trực của đoạn BC
b) Ta có
(chứng minh trên)
(giả thiết)
(đpcm).
Giải những bài tập khác
Giải bài tập những môn khác
Môn học lớp 9 KNTT
5 phút giải toán 9 KNTT
5 phút soạn bài văn 9 KNTT
Văn mẫu 9 kết nối tri thức
5 phút giải KHTN 9 KNTT
5 phút giải lịch sử 9 KNTT
5 phút giải địa lí 9 KNTT
5 phút giải hướng nghiệp 9 KNTT
5 phút giải lắp mạng điện 9 KNTT
5 phút giải trồng trọt 9 KNTT
5 phút giải CN thực phẩm 9 KNTT
5 phút giải tin học 9 KNTT
5 phút giải GDCD 9 KNTT
5 phút giải HĐTN 9 KNTT
Môn học lớp 9 CTST
5 phút giải toán 9 CTST
5 phút soạn bài văn 9 CTST
Văn mẫu 9 chân trời sáng tạo
5 phút giải KHTN 9 CTST
5 phút giải lịch sử 9 CTST
5 phút giải địa lí 9 CTST
5 phút giải hướng nghiệp 9 CTST
5 phút giải lắp mạng điện 9 CTST
5 phút giải cắt may 9 CTST
5 phút giải nông nghiệp 9 CTST
5 phút giải tin học 9 CTST
5 phút giải GDCD 9 CTST
5 phút giải HĐTN 9 bản 1 CTST
5 phút giải HĐTN 9 bản 2 CTST
Môn học lớp 9 cánh diều
5 phút giải toán 9 CD
5 phút soạn bài văn 9 CD
Văn mẫu 9 cánh diều
5 phút giải KHTN 9 CD
5 phút giải lịch sử 9 CD
5 phút giải địa lí 9 CD
5 phút giải hướng nghiệp 9 CD
5 phút giải lắp mạng điện 9 CD
5 phút giải trồng trọt 9 CD
5 phút giải CN thực phẩm 9 CD
5 phút giải tin học 9 CD
5 phút giải GDCD 9 CD
5 phút giải HĐTN 9 CD
Trắc nghiệm 9 Kết nối tri thức
Trắc nghiệm 9 Chân trời sáng tạo
Trắc nghiệm 9 Cánh diều
Tài liệu lớp 9
Văn mẫu lớp 9
Đề thi lên 10 Toán
Đề thi môn Hóa 9
Đề thi môn Địa lớp 9
Đề thi môn vật lí 9
Tập bản đồ địa lí 9
Ôn toán 9 lên 10
Ôn Ngữ văn 9 lên 10
Ôn Tiếng Anh 9 lên 10
Đề thi lên 10 chuyên Toán
Chuyên đề ôn tập Hóa 9
Chuyên đề ôn tập Sử lớp 9
Chuyên đề toán 9
Chuyên đề Địa Lý 9
Phát triển năng lực toán 9 tập 1
Bài tập phát triển năng lực toán 9
Bình luận