Câu hỏi tự luận mức độ vận dụng cao Toán 9 CTST bài 2: Tiếp tuyến của đường tròn
4. VẬN DỤNG CAO (3 câu)
Câu 1: Cho hai đường tròn đồng tâm O, có bán kính lần lượt là R và r. Dây MN của đường tròn lớn cắt đường tròn nhỏ tại A và B. Gọi BC là đường kính của đường tròn nhỏ. Tính giá trị của biểu thức
theo R và r.
Câu 2: Cho đường tròn
đường kính AB, C là một điểm bất kỳ nằm giữa A và B. Vẽ đường tròn tâm I, đường kính CA; đường tròn tâm
, đường kính CB.
a) Hai đường tròn (I) và (K) có vị trí như thế nào đối với nhau.
b) Đường vuông góc với AB tại C cắt đường tròn (O) ở D và E. DA cắt đường tròn (I) ở M, DB cắt đường tròn (K) ở N.
c) Xác định vị trí của C trên đường kính AB sao cho MN có độ dài lớn nhất.
d) Xác định vị trí của điểm C trên đường kính AB sao cho tứ giác DMCN có diện tích lớn nhất.
Câu 3: Cho hai đường tròn
và
tiếp xúc ngoài tại A. Vẽ tiếp tuyến chung ngoài tiếp xúc (O) và (O’) lần lượt ở B và C. Tiếp tuyến chung trong cắt BC ở I. Gọi E,F thứ tự là giao điểm của IO với AB của IO’ với AC.
a) Chứng minh bốn điểm
cùng thuộc một đường tròn, xác định tâm K của đường tròn này.
b) Chứng minh:
.
c) Gọi P là trung điểm của OA. Chứng minh PE tiếp xúc với
.
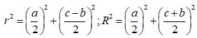
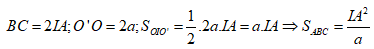
d) Cho
cố định và có độ dài 2a. Tìm điều kiện của R và R’ để diện tích tam giác ABC lớn nhất.
Câu 1:

Kẻ
. Đặt ![]()
Ta có: 
Chứng minh được: ![]()
Câu 2:

a) Đường tròn (I) và đường tròn (K) tiếp xúc ngoài nhau tại C (vì
)
b) Vì AC là đường kính của (I) nên
vuông tại M
Tương tự ta có
vuông tại N;
vuông tại D
Suy ra tứ giác DMCN là hình chữ nhật
Gọi E là giao điểm của MN và DC. Ta có
cân
![]()
Mà
, do đó ![]()
Tương tự ta cũng có
là tiếp tuyến chung của hai đường tròn
và
.
c) Vì DMCN là hình chữ nhật nên
có độ dài lớn nhất khi CD có độ dài lớn nhất
Ta có
(không đổi), dấu “=” xảy ra khi ![]()
Vậy khi
thì MN có độ dài lớn nhất là R
d)
,
có ![]()
có
. Do đó ![]()
Lại có ![]()
Vậy diện tích tứ giác DMCN lớn nhất khi điểm C trùng với điểm O.
Câu 3:

Chứng minh được tứ giác
là hình chữ nhật và K là trung điểm của AI
b) Có: ![]()
c) PK là đường trung bình của
và trung trực của EA
Ta có:
đpcm
d) 
mà ![]()
lớn nhất bằng a khi
.
Giải những bài tập khác
Giải bài tập những môn khác
Môn học lớp 9 KNTT
5 phút giải toán 9 KNTT
5 phút soạn bài văn 9 KNTT
Văn mẫu 9 kết nối tri thức
5 phút giải KHTN 9 KNTT
5 phút giải lịch sử 9 KNTT
5 phút giải địa lí 9 KNTT
5 phút giải hướng nghiệp 9 KNTT
5 phút giải lắp mạng điện 9 KNTT
5 phút giải trồng trọt 9 KNTT
5 phút giải CN thực phẩm 9 KNTT
5 phút giải tin học 9 KNTT
5 phút giải GDCD 9 KNTT
5 phút giải HĐTN 9 KNTT
Môn học lớp 9 CTST
5 phút giải toán 9 CTST
5 phút soạn bài văn 9 CTST
Văn mẫu 9 chân trời sáng tạo
5 phút giải KHTN 9 CTST
5 phút giải lịch sử 9 CTST
5 phút giải địa lí 9 CTST
5 phút giải hướng nghiệp 9 CTST
5 phút giải lắp mạng điện 9 CTST
5 phút giải cắt may 9 CTST
5 phút giải nông nghiệp 9 CTST
5 phút giải tin học 9 CTST
5 phút giải GDCD 9 CTST
5 phút giải HĐTN 9 bản 1 CTST
5 phút giải HĐTN 9 bản 2 CTST
Môn học lớp 9 cánh diều
5 phút giải toán 9 CD
5 phút soạn bài văn 9 CD
Văn mẫu 9 cánh diều
5 phút giải KHTN 9 CD
5 phút giải lịch sử 9 CD
5 phút giải địa lí 9 CD
5 phút giải hướng nghiệp 9 CD
5 phút giải lắp mạng điện 9 CD
5 phút giải trồng trọt 9 CD
5 phút giải CN thực phẩm 9 CD
5 phút giải tin học 9 CD
5 phút giải GDCD 9 CD
5 phút giải HĐTN 9 CD
Trắc nghiệm 9 Kết nối tri thức
Trắc nghiệm 9 Chân trời sáng tạo
Trắc nghiệm 9 Cánh diều
Tài liệu lớp 9
Văn mẫu lớp 9
Đề thi lên 10 Toán
Đề thi môn Hóa 9
Đề thi môn Địa lớp 9
Đề thi môn vật lí 9
Tập bản đồ địa lí 9
Ôn toán 9 lên 10
Ôn Ngữ văn 9 lên 10
Ôn Tiếng Anh 9 lên 10
Đề thi lên 10 chuyên Toán
Chuyên đề ôn tập Hóa 9
Chuyên đề ôn tập Sử lớp 9
Chuyên đề toán 9
Chuyên đề Địa Lý 9
Phát triển năng lực toán 9 tập 1
Bài tập phát triển năng lực toán 9
Bình luận