Câu hỏi tự luận mức độ vận dụng Toán 12 cd Bài 4: Khảo sát sự biến thiên và vẽ đồ thị của hàm số
3. VẬN DỤNG (5 câu)
Câu 1: Cho hàm số ![]()
a) Khảo sát sự biến thiên và vẽ đồ thị của hàm số.
b) Biện luận theo
số nghiệm của phương trình
.
Câu 2: Cho hàm số ![]()
a) Khảo sát sự biến thiên và vẽ đồ thị.
b) Tìm điểm trên đồ thị có tổng khoảng cách đến hai tiệm cận nhỏ nhất.
Câu 3: Cho hàm số ![]()
a) Khảo sát sự biến thiên và vẽ đồ thị (C) của hàm số.
b) Giả sử đường thẳng
cắt (C) tại hai điểm phân biệt
và cắt hai tiệm cận của (C) tại hai điểm
. Chứng minh
.
Câu 4: Cho hàm số
(C)
a) Khảo sát sự biến thiên và vẽ đồ thị (C). Tìm trên đồ thị (C) các điểm có tọa độ là số nguyên.
b) Tìm các giá trị của
để phương trình
có hai nghiệm phân biệt.
Câu 5: Cho hàm số ![]()
a) Khảo sát và vẽ đồ thị
.
b) Đường thẳng
đi qua điểm
và có hệ số góc bằng
. Xác định các giá trị của
để
cắt đồ thị
tại ba điểm phân biệt.
Câu 1:
a) Tập xác định:
.
Ta có: ![]()
Hàm số nghịch biến trên các khoảng
và
; hàm số nghịch biến trên khoảng
.
Hàm số đạt cực đại tại
; giá trị cực đại
.
Hàm số đạt cực tiểu tại
; giá trị cực tiểu
.
Giới hạn: ![]()
Bảng biến thiên:

Đồ thị:

b) Ta có: ![]()
Số nghiệm của phương trình là số điểm chung của đồ thị hàm số
và đường thẳng
.
Đồ thị hàm số
được vẽ theo đồ thị hàm số
bằng cách giữ nguyên phần bên phải trục tung, rồi lấy điểm đối xứng phần đó qua trục tung.

Theo đồ thị ta có:
+
hay
: phương trình có 2 nghiệm.
+
: phương trình có 3 nghiệm.
+
: phương trình có 4 nghiệm.
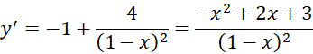
Câu 2:
a) Tập xác định:
.
Ta có:
![]()
![]()
Hàm số đồng biến trên các khoảng
và
; hàm số nghịch biến trên các khoảng
và
.
Hàm số có điểm cực đại
, giá trị cực đại
; hàm số có điểm cực tiểu
, giá trị cực tiểu
.
Giới hạn:
nên đồ thị hàm số có một đường tiệm cận đứng là
.
và
nên đường thẳng
là tiệm cận xiên của đồ thị hàm số.
Bảng biến thiên:

Đồ thị:

b) Lấy điểm
trên đồ thị
Tổng khoảng cách từ
đến hai tiệm cận là ![]()
Theo bất đẳng thức Cô-si, ![]()
Dấu bằng xảy ra khi và chỉ khi
.
Vậy giá trị nhỏ nhất của tổng khoảng cách từ
đến hai tiệm cận là
đạt được với hai điểm
.
Câu 3:
a) ![]()
Tập xác định:
.
Ta có:
![]()
![]()
Hàm số đồng nghịch trên các khoảng
và
; hàm số đồng biến trên các khoảng
và
.
Hàm số có điểm cực đại
, giá trị cực đại
; hàm số có điểm cực tiểu
, giá trị cực tiểu
.
Giới hạn:
nên đồ thị hàm số có một đường tiệm cận đứng là
.
và
nên đường thẳng
là tiệm cận xiên của đồ thị hàm số.
Bảng biến thiên:

Đồ thị:

b) Đường thẳng
cắt tiệm cận đứng
tại điểm
có hoành độ
. Phương trình hoành độ giao điểm của đường thẳng
và tiệm cận xiên
là:
.
Đường thẳng
cắt tiệm cận xiên
tại điểm
có hoành độ ![]()
Phương trình hoành độ giao điểm của đường thẳng
và đồ thị
![]()
Nếu đường thẳng
cắt đồ thị
tại hai điểm
thì hoành độ của
là nghiệm của phương trình trên. Suy ra
.
Ta có ![]()
Suy ra hai đoạn
và
có cùng trung điểm.
Vậy
.
Câu 4:
a) Tập xác định:
.
Ta có: ![]()
Hàm số nghịch biến trên các khoảng
và
.
Giới hạn:
nên đường thẳng
là tiệm cận ngang của đồ thị hàm số.
nên đường thẳng
là tiệm cận đứng của đồ thị hàm số.
Bảng biến thiên:

Đồ thị:

+ Viết lại ![]()
Cho
. Để
thì
là ước số của 3.
| 1 | -1 | 3 | -3 |
| 3 | 1 | 5 | -1 |
| 4 | -2 | 2 | 0 |
Trên đồ thị có bốn điểm mà tọa độ nguyên là
.
b) Xét phương trình ![]()
Nhận xét
không phải là nghiệm.
Với
thì phương trình tương đương ![]()
Phương trình này là phương trình hoành độ giáo điểm của đồ thị
và đường thẳng
.
Đồ thị thị
được vẽ theo đồ thị
bằng cách giữ nguyên phần ứng với
và lấy đối xứng qua trục hoành phần ứng với
.
Dựa vào đồ thị, phương trình có hai nghiệm phân biệt khi và chỉ khi
.
Câu 5:
a) Tập xác định:
.
Ta có: ![]()
Hàm số đồng biến trên các khoảng
và
; hàm số nghịch biến trên khoảng
.
Hàm số đạt cực đại tại
; giá trị cực đại
.
Hàm số đạt cực tiểu tại
; giá trị cực tiểu
.
Giới hạn: ![]()
Bảng biến thiên:

Đồ thị:

b) Phương trình đường thẳng ![]()
phương trình hoành độ giao điểm của đồ thị
và đường thẳng ![]()
![]()
Để
cắt
tại ba điểm phân biệt thì điều kiện cần và đủ là phương trình (1) có hai nghiệm phân biệt khác
. Điều kiện tương đương:
, trong đó
.
Giải những bài tập khác
Giải bài tập những môn khác
Môn học lớp 12 KNTT
5 phút giải toán 12 KNTT
5 phút soạn bài văn 12 KNTT
Văn mẫu 12 KNTT
5 phút giải vật lí 12 KNTT
5 phút giải hoá học 12 KNTT
5 phút giải sinh học 12 KNTT
5 phút giải KTPL 12 KNTT
5 phút giải lịch sử 12 KNTT
5 phút giải địa lí 12 KNTT
5 phút giải CN lâm nghiệp 12 KNTT
5 phút giải CN điện - điện tử 12 KNTT
5 phút giải THUD12 KNTT
5 phút giải KHMT12 KNTT
5 phút giải HĐTN 12 KNTT
5 phút giải ANQP 12 KNTT
Môn học lớp 12 CTST
5 phút giải toán 12 CTST
5 phút soạn bài văn 12 CTST
Văn mẫu 12 CTST
5 phút giải vật lí 12 CTST
5 phút giải hoá học 12 CTST
5 phút giải sinh học 12 CTST
5 phút giải KTPL 12 CTST
5 phút giải lịch sử 12 CTST
5 phút giải địa lí 12 CTST
5 phút giải THUD 12 CTST
5 phút giải KHMT 12 CTST
5 phút giải HĐTN 12 bản 1 CTST
5 phút giải HĐTN 12 bản 2 CTST
Môn học lớp 12 cánh diều
5 phút giải toán 12 CD
5 phút soạn bài văn 12 CD
Văn mẫu 12 CD
5 phút giải vật lí 12 CD
5 phút giải hoá học 12 CD
5 phút giải sinh học 12 CD
5 phút giải KTPL 12 CD
5 phút giải lịch sử 12 CD
5 phút giải địa lí 12 CD
5 phút giải CN lâm nghiệp 12 CD
5 phút giải CN điện - điện tử 12 CD
5 phút giải THUD 12 CD
5 phút giải KHMT 12 CD
5 phút giải HĐTN 12 CD
5 phút giải ANQP 12 CD
Giải chuyên đề học tập lớp 12 kết nối tri thức
Giải chuyên đề Ngữ văn 12 Kết nối tri thức
Giải chuyên đề Toán 12 Kết nối tri thức
Giải chuyên đề Vật lí 12 Kết nối tri thức
Giải chuyên đề Hóa học 12 Kết nối tri thức
Giải chuyên đề Sinh học 12 Kết nối tri thức
Giải chuyên đề Kinh tế pháp luật 12 Kết nối tri thức
Giải chuyên đề Lịch sử 12 Kết nối tri thức
Giải chuyên đề Địa lí 12 Kết nối tri thức
Giải chuyên đề Tin học ứng dụng 12 Kết nối tri thức
Giải chuyên đề Khoa học máy tính 12 Kết nối tri thức
Giải chuyên đề Công nghệ 12 Điện - điện tử Kết nối tri thức
Giải chuyên đề Công nghệ 12 Lâm nghiệp thủy sản Kết nối tri thức
Giải chuyên đề học tập lớp 12 chân trời sáng tạo
Giải chuyên đề Ngữ văn 12 Chân trời sáng tạo
Giải chuyên đề Toán 12 Chân trời sáng tạo
Giải chuyên đề Vật lí 12 Chân trời sáng tạo
Giải chuyên đề Hóa học 12 Chân trời sáng tạo
Giải chuyên đề Sinh học 12 Chân trời sáng tạo
Giải chuyên đề Kinh tế pháp luật 12 Chân trời sáng tạo
Giải chuyên đề Lịch sử 12 Chân trời sáng tạo
Giải chuyên đề Địa lí 12 Chân trời sáng tạo
Giải chuyên đề Tin học ứng dụng 12 Chân trời sáng tạo
Giải chuyên đề Khoa học máy tính 12 Chân trời sáng tạo
Giải chuyên đề Công nghệ 12 Điện - điện tử Chân trời sáng tạo
Giải chuyên đề Công nghệ 12 Lâm nghiệp thủy sản Chân trời sáng tạo
Giải chuyên đề học tập lớp 12 cánh diều
Giải chuyên đề Ngữ văn 12 Cánh diều
Giải chuyên đề Toán 12 Cánh diều
Giải chuyên đề Vật lí 12 Cánh diều
Giải chuyên đề Hóa học 12 Cánh diều
Giải chuyên đề Sinh học 12 Cánh diều
Giải chuyên đề Kinh tế pháp luật 12 Cánh diều
Giải chuyên đề Lịch sử 12 Cánh diều
Giải chuyên đề Địa lí 12 Cánh diều
Giải chuyên đề Tin học ứng dụng 12 Cánh diều
Giải chuyên đề Khoa học máy tính 12 Cánh diều
Giải chuyên đề Công nghệ 12 Điện - điện tử Cánh diều
Giải chuyên đề Công nghệ 12 Lâm nghiệp thủy sản Cánh diều
Bình luận