Câu hỏi tự luận mức độ vận dụng cao Toán 12 cd Bài 4: Khảo sát sự biến thiên và vẽ đồ thị của hàm số
4. VẬN DỤNG CAO (4 câu)
Câu 1: Một loại thuốc được dùng cho một bệnh nhân và nồng độ thuộc trong máu của bệnh nhân được giám sát bởi bác sĩ. Biết rằng nồng độ thuốc trong máu của bênh nhân sau khi tiêm vào cơ thể trong 1 giờ được tính theo công thức
mg/L. Sau khi tiêm thuốc bao nhiêu giờ thì nồng độ thuốc trong máu của bệnh nhân cao nhất?
Câu 2: Một bể ban đầu chứa 200 lít nước. Sau mỗi phút, người ta bơm vào bể 40 lít nước và cho thêm vào bể 20 gam chất khử trùng (hòa tan).
a) Tính thể tích nước và khối lượng chất khử trùng có trong bể sau
phút. Tính nồng độ chất khử trùng (gam/lít) trong bể sau
phút. Ta xem nồng độ chất khử trùng là hàm số
với
.
b) Khảo sát sự biến thiên và vẽ đồ thị hàm số
.
c) Hãy giải thích tại sao nồng độ chất khử trùng tăng theo
nhưng không vượt ngưỡng
gam/lít.
Câu 3: Xét một mương dẫn nước thủy lợi tại một địa phương như hình vẽ. Phần không gian trong mương để nước chảy có mặt cắt ngang là hình chữ nhật
. Với điều kiện lưu lượng nước qua mương cho phép ở đây thì diện tích mặt cắt
là 1,2m2. Để đảm bảo yêu cầu kĩ thuật tốt nhất cho mương, người ta cần thiết kế sao cho tổng độ dài
ngắn nhất.
a) Đặt
, tính
theo
.
b) Khảo sát hàm số
như trên.
c) Tìm
để
nhỏ nhất, biết rằng theo quy định thì đoạn
(chiều rộng đáy mương)m phải dưới 10.

Câu 4: Nhà bạn V làm nghề dệt vải, sản xuất mỗi ngày được
mét vải (
). Tổng chi phí sản xuất
mét vải, tính bằng nghìn đồng, cho bởi hàm chi phí:
. Giả sử nhà bạn V bán hết sản phẩm mỗi ngày với giá 220 nghìn đồng/mét. Gọi
là số tiền bán được và
là lợi nhuận thu được khi bán
mét vải.
a) Hãy viết biểu thức tính
và
theo
.
b) Khảo sát và vẽ đồ thị của hàm số
trên
.
c) Nhà bạn V cần sản xuất và bán ra mỗi ngày bao nhiêu mét vải để thu được lợi nhuận tối đa? Tính lợi nhuận tối đa đó.
Câu 1:
Xét hàm số ![]()
![]()
Bảng biến thiên:

Dựa vào bảng biến thiên ta thấy nồng độ thuốc trong máu của bệnh nhân cao nhất khi
.
Câu 2:
a)
Thể tích sau nước sau
phút là
((lít).
Khối lượng chất khử sau
phút là
(gam).
Nồng độ chất khử trùng sau
phút là
(gam/lít).
b) Ta có:
.
- Tập xác định:
.
- Sự biến thiên:
+
với mọi
.
+ Hàm số đồng biến trên khoảng
.
+ Hàm số không có cực trị.
+ Tiệm cận: ![]()
Do đó
là tiệm cận ngang của đồ thị hàm số.
+ Bảng biến thiên:

+ Đồ thị:

c) Do
là hàm tăng nên nồng độc hất khử trùng tăng theo thời gian. Tuy nhiên, do
nên nồng độ này không vượt ngưỡng
gam/lít.
Câu 3:
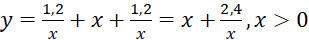
a) Ta có:
![]()
Khi đó: ![]()
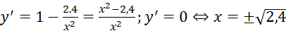
b) Xét hàm số ![]()
Tập xác định: ![]()
Ta có: ![]()
Hàm số đồng biến trên khoảng
; hàm số nghịch biến trên khoảng
.
Hàm số có điểm cực tiểu
, giá trị cực tiểu
.
Giới hạn:
nên đường thẳng
là tiệm cận đứng của đồ thị hàm số.
và
nên đường thẳng
là tiệm cận xiên của đồ thị hàm số.
Bảng biến thiên:

Đồ thị hàm số:

c) Từ đồ thị hàm số ta thấy với
thì giá trị nhỏ nhất của hàm số là
.
Câu 4:
a) Ta có:
![]()
b) Xét hàm số ![]()
Ta có: ![]()
![]()
Hàm số đồng biến trên khoảng
và hàm số nghịch biến trên khoảng
.
Hàm số đạt cực đại tại
, giá trị cực đại là ![]()
Bảng biến thiên:

Đồ thị:

c) Ta thấy rằng hàm số
đạt giá trị lớn nhất tại điểm
.
Lợi nhuận tối đa là
nghìn đồng.
Nhà bạn V cần sản xuất và bán ra mỗi ngày 10 mét vải để thu được lợi nhuận tối đa là 1200 nghìn đồng.
Giải những bài tập khác
Giải bài tập những môn khác
Môn học lớp 12 KNTT
5 phút giải toán 12 KNTT
5 phút soạn bài văn 12 KNTT
Văn mẫu 12 KNTT
5 phút giải vật lí 12 KNTT
5 phút giải hoá học 12 KNTT
5 phút giải sinh học 12 KNTT
5 phút giải KTPL 12 KNTT
5 phút giải lịch sử 12 KNTT
5 phút giải địa lí 12 KNTT
5 phút giải CN lâm nghiệp 12 KNTT
5 phút giải CN điện - điện tử 12 KNTT
5 phút giải THUD12 KNTT
5 phút giải KHMT12 KNTT
5 phút giải HĐTN 12 KNTT
5 phút giải ANQP 12 KNTT
Môn học lớp 12 CTST
5 phút giải toán 12 CTST
5 phút soạn bài văn 12 CTST
Văn mẫu 12 CTST
5 phút giải vật lí 12 CTST
5 phút giải hoá học 12 CTST
5 phút giải sinh học 12 CTST
5 phút giải KTPL 12 CTST
5 phút giải lịch sử 12 CTST
5 phút giải địa lí 12 CTST
5 phút giải THUD 12 CTST
5 phút giải KHMT 12 CTST
5 phút giải HĐTN 12 bản 1 CTST
5 phút giải HĐTN 12 bản 2 CTST
Môn học lớp 12 cánh diều
5 phút giải toán 12 CD
5 phút soạn bài văn 12 CD
Văn mẫu 12 CD
5 phút giải vật lí 12 CD
5 phút giải hoá học 12 CD
5 phút giải sinh học 12 CD
5 phút giải KTPL 12 CD
5 phút giải lịch sử 12 CD
5 phút giải địa lí 12 CD
5 phút giải CN lâm nghiệp 12 CD
5 phút giải CN điện - điện tử 12 CD
5 phút giải THUD 12 CD
5 phút giải KHMT 12 CD
5 phút giải HĐTN 12 CD
5 phút giải ANQP 12 CD
Giải chuyên đề học tập lớp 12 kết nối tri thức
Giải chuyên đề Ngữ văn 12 Kết nối tri thức
Giải chuyên đề Toán 12 Kết nối tri thức
Giải chuyên đề Vật lí 12 Kết nối tri thức
Giải chuyên đề Hóa học 12 Kết nối tri thức
Giải chuyên đề Sinh học 12 Kết nối tri thức
Giải chuyên đề Kinh tế pháp luật 12 Kết nối tri thức
Giải chuyên đề Lịch sử 12 Kết nối tri thức
Giải chuyên đề Địa lí 12 Kết nối tri thức
Giải chuyên đề Tin học ứng dụng 12 Kết nối tri thức
Giải chuyên đề Khoa học máy tính 12 Kết nối tri thức
Giải chuyên đề Công nghệ 12 Điện - điện tử Kết nối tri thức
Giải chuyên đề Công nghệ 12 Lâm nghiệp thủy sản Kết nối tri thức
Giải chuyên đề học tập lớp 12 chân trời sáng tạo
Giải chuyên đề Ngữ văn 12 Chân trời sáng tạo
Giải chuyên đề Toán 12 Chân trời sáng tạo
Giải chuyên đề Vật lí 12 Chân trời sáng tạo
Giải chuyên đề Hóa học 12 Chân trời sáng tạo
Giải chuyên đề Sinh học 12 Chân trời sáng tạo
Giải chuyên đề Kinh tế pháp luật 12 Chân trời sáng tạo
Giải chuyên đề Lịch sử 12 Chân trời sáng tạo
Giải chuyên đề Địa lí 12 Chân trời sáng tạo
Giải chuyên đề Tin học ứng dụng 12 Chân trời sáng tạo
Giải chuyên đề Khoa học máy tính 12 Chân trời sáng tạo
Giải chuyên đề Công nghệ 12 Điện - điện tử Chân trời sáng tạo
Giải chuyên đề Công nghệ 12 Lâm nghiệp thủy sản Chân trời sáng tạo
Giải chuyên đề học tập lớp 12 cánh diều
Giải chuyên đề Ngữ văn 12 Cánh diều
Giải chuyên đề Toán 12 Cánh diều
Giải chuyên đề Vật lí 12 Cánh diều
Giải chuyên đề Hóa học 12 Cánh diều
Giải chuyên đề Sinh học 12 Cánh diều
Giải chuyên đề Kinh tế pháp luật 12 Cánh diều
Giải chuyên đề Lịch sử 12 Cánh diều
Giải chuyên đề Địa lí 12 Cánh diều
Giải chuyên đề Tin học ứng dụng 12 Cánh diều
Giải chuyên đề Khoa học máy tính 12 Cánh diều
Giải chuyên đề Công nghệ 12 Điện - điện tử Cánh diều
Giải chuyên đề Công nghệ 12 Lâm nghiệp thủy sản Cánh diều
Bình luận