Câu hỏi tự luận mức độ vận dụng cao Toán 12 cd Bài 1: Vectơ và các phép toán vectơ trong không gian
4. VẬN DỤNG CAO (4 câu)
Câu 1: Cho biết  (đơn vị:
 (đơn vị:  ) sinh bởi lực
) sinh bởi lực  tác dụng lên một vật được tính bằng công thức
 tác dụng lên một vật được tính bằng công thức  trong đó
 trong đó  là vectơ biểu thị độ dịch chuyển của vật (đơn vị: mét) khi chịu tác dụng của lực
là vectơ biểu thị độ dịch chuyển của vật (đơn vị: mét) khi chịu tác dụng của lực  . Một chiếc xe có khối lượng 1,5 tấn đang đi xuống trên một đoạn đường dốc có góc nghiêng
. Một chiếc xe có khối lượng 1,5 tấn đang đi xuống trên một đoạn đường dốc có góc nghiêng  so với phương ngang. Tính công sinh ra bởi trọng lực
 so với phương ngang. Tính công sinh ra bởi trọng lực  khi xe đi hết đoạn đường dốc dài 30m (làm tròn kết quả đến hàng đơn vị), biết rằng trọng lực
 khi xe đi hết đoạn đường dốc dài 30m (làm tròn kết quả đến hàng đơn vị), biết rằng trọng lực  được xác định bởi công thức
 được xác định bởi công thức  , với
, với  (đơn vị: kg) là khối lượng của vật và
 (đơn vị: kg) là khối lượng của vật và  là gia tốc rơi tự do có độ lớn
 là gia tốc rơi tự do có độ lớn  .
.

Câu 2: Một chất điểm  nằm trên mặt phẳng nằm ngang
 nằm trên mặt phẳng nằm ngang  , chịu tác động bởi ba lực
, chịu tác động bởi ba lực  . Các lực
. Các lực  có giá nằm trong
 có giá nằm trong  và (
 và ( ) = 135
) = 135 , còn lực
, còn lực  có giá vuông góc với
 có giá vuông góc với  và hướng lên trên. Xác định cường độ hợp lực của các lực
 và hướng lên trên. Xác định cường độ hợp lực của các lực  biết rằng độ lớn của ba lực đó lần lượt là 20N, 15N và 10N.
 biết rằng độ lớn của ba lực đó lần lượt là 20N, 15N và 10N.
Câu 3: Một chiếc thúng đựng gạo được treo sao cho miệng thúng song song với mặt phẳng nằm ngang bởi ba sợi dây không dãn xuất phát từ điểm  trên thanh gỗ nằm ngang và lần lượt buộc vào ba điểm
 trên thanh gỗ nằm ngang và lần lượt buộc vào ba điểm  như hình. Biết rằng các dây
 như hình. Biết rằng các dây  đôi một vuông góc và lực căng
 đôi một vuông góc và lực căng  trên mỗi dây có độ lớn đều bằng 21N (tham khảo hình vẽ bên). Tính trọng lượng của chiếc thúng đó.
 trên mỗi dây có độ lớn đều bằng 21N (tham khảo hình vẽ bên). Tính trọng lượng của chiếc thúng đó.

Câu 4: Người ta treo cái chiêng đồng tại điểm  , có khối lượng
, có khối lượng  kg trên trần nhà bằng các sợi dây xích tại các điểm
 kg trên trần nhà bằng các sợi dây xích tại các điểm  . Để đảm bảo lực phân phối đều lên các dây và tính thẩm mĩ, người ta chọn độ dài các dây sao cho
. Để đảm bảo lực phân phối đều lên các dây và tính thẩm mĩ, người ta chọn độ dài các dây sao cho  là tứ diện đều. Gọi
 là tứ diện đều. Gọi  lần lượt là các lực căng của ba dây treo tại
 lần lượt là các lực căng của ba dây treo tại  . Lấy giá trị gần đúng của gia tốc trọng trường
. Lấy giá trị gần đúng của gia tốc trọng trường  .
.
a) Tính cường độ (độ lớn) hợp lực của ba lực căng đã cho.
b) Tính cường độ (độ lớn) của lực căng trên mỗi dây.

Câu 1:
Ta có: 1,5 tấn = 1500kg
Độ lớn của trọng lực tác dụng lên xe là 
Vectơ  biểu thị độ dịch chuyển của xe có độ dài là
 biểu thị độ dịch chuyển của xe có độ dài là  và
 và 
Công sinh ra bởi trọng lực khi xe đi hết đoạn đường đốc là:

Câu 2:

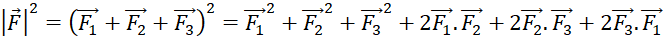
Gọi  là hợp lực của các lực
 là hợp lực của các lực  tức là
 tức là  ta có:
 ta có:

 
Vậy  .
.
Câu 3:

Không mất tổng quát, gọi 
Ta có các dây  đôi một vuông góc và độ lớn
 đôi một vuông góc và độ lớn  nên hình hộp
 nên hình hộp  là hình lập phương có cạnh bằng 21.
 là hình lập phương có cạnh bằng 21.
Do chiếc thúng ở vị trí cân bằng bên trọng lực tác dụng lên chiếc thúng là:
 (quy tắc hình hộp).
 (quy tắc hình hộp).
Vậy trọng lượng của chiếc thúng là:
 N.
N.
Câu 4:

a) Do lực phân phối đều lên các dây nên ta gọi  .
.
Và  cũng là tứ diện đều, với đáy
 cũng là tứ diện đều, với đáy  có
 có  là trọng tâm và
 là trọng tâm và  .
. 
Theo tính chất trọng tâm:
 .
.
Mặt khác, độ lớn của trọng lực tác dụng lên cái chiêng là:
 .
.
Do cái chiêng ở vị trí cân bằng nên độ lớn của trọng lực bằng độ lớn của hợp lực.
Vậy cường độ của hợp lực là: 
b) Ta có: 
Đặt  là tứ giác đều cạnh
 là tứ giác đều cạnh  , gọi
, gọi  là trung điểm
 là trung điểm 
Trong tam giác đều  , có:
, có: 
Xét tam giác  vuông tại
 vuông tại  , có:
, có:
 .
.
Vậy cường độ của lực căng trên mỗi dây là  (N).
 (N).
Giải những bài tập khác
Giải bài tập những môn khác
Môn học lớp 12 KNTT
5 phút giải toán 12 KNTT
5 phút soạn bài văn 12 KNTT 
Văn mẫu 12 KNTT
5 phút giải vật lí 12 KNTT
5 phút giải hoá học 12 KNTT
5 phút giải sinh học 12 KNTT
5 phút giải KTPL 12 KNTT
5 phút giải lịch sử 12 KNTT
5 phút giải địa lí 12 KNTT
5 phút giải CN lâm nghiệp 12 KNTT 
5 phút giải CN điện - điện tử 12 KNTT
5 phút giải THUD12 KNTT 
5 phút giải KHMT12 KNTT
5 phút giải HĐTN 12 KNTT
5 phút giải ANQP 12 KNTT
Môn học lớp 12 CTST
5 phút giải toán 12 CTST
5 phút soạn bài văn 12 CTST
Văn mẫu 12 CTST
5 phút giải vật lí 12 CTST
5 phút giải hoá học 12  CTST
5 phút giải sinh học 12 CTST
5 phút giải KTPL 12 CTST
5 phút giải lịch sử 12 CTST
5 phút giải địa lí 12 CTST
5 phút giải THUD 12 CTST
5 phút giải KHMT 12 CTST
5 phút giải HĐTN 12 bản 1 CTST
5 phút giải HĐTN 12 bản 2 CTST
Môn học lớp 12 cánh diều
5 phút giải toán 12 CD
5 phút soạn bài văn 12 CD
Văn mẫu 12 CD
5 phút giải vật lí 12 CD
5 phút giải hoá học 12 CD
5 phút giải sinh học 12 CD
5 phút giải KTPL 12 CD
5 phút giải lịch sử 12 CD
5 phút giải địa lí 12 CD
5 phút giải CN lâm nghiệp 12 CD
5 phút giải CN điện - điện tử 12 CD
5 phút giải THUD 12 CD
5 phút giải KHMT 12 CD
5 phút giải HĐTN 12 CD
5 phút giải ANQP 12 CD
Giải chuyên đề học tập lớp 12 kết nối tri thức
Giải chuyên đề Ngữ văn 12 Kết nối tri thức
Giải chuyên đề Toán 12 Kết nối tri thức
Giải chuyên đề Vật lí 12 Kết nối tri thức
Giải chuyên đề Hóa học 12 Kết nối tri thức
Giải chuyên đề Sinh học 12 Kết nối tri thức
Giải chuyên đề Kinh tế pháp luật 12 Kết nối tri thức
Giải chuyên đề Lịch sử 12 Kết nối tri thức
Giải chuyên đề Địa lí 12 Kết nối tri thức
Giải chuyên đề Tin học ứng dụng 12 Kết nối tri thức
Giải chuyên đề Khoa học máy tính 12 Kết nối tri thức
Giải chuyên đề Công nghệ 12 Điện - điện tử Kết nối tri thức
Giải chuyên đề Công nghệ 12 Lâm nghiệp thủy sản Kết nối tri thức
Giải chuyên đề học tập lớp 12 chân trời sáng tạo
Giải chuyên đề Ngữ văn 12 Chân trời sáng tạo
Giải chuyên đề Toán 12 Chân trời sáng tạo
Giải chuyên đề Vật lí 12 Chân trời sáng tạo
Giải chuyên đề Hóa học 12 Chân trời sáng tạo
Giải chuyên đề Sinh học 12 Chân trời sáng tạo
Giải chuyên đề Kinh tế pháp luật 12 Chân trời sáng tạo
Giải chuyên đề Lịch sử 12 Chân trời sáng tạo
Giải chuyên đề Địa lí 12 Chân trời sáng tạo
Giải chuyên đề Tin học ứng dụng 12 Chân trời sáng tạo
Giải chuyên đề Khoa học máy tính 12 Chân trời sáng tạo
Giải chuyên đề Công nghệ 12 Điện - điện tử Chân trời sáng tạo
Giải chuyên đề Công nghệ 12 Lâm nghiệp thủy sản Chân trời sáng tạo
Giải chuyên đề học tập lớp 12 cánh diều
Giải chuyên đề Ngữ văn 12 Cánh diều
Giải chuyên đề Toán 12 Cánh diều
Giải chuyên đề Vật lí 12 Cánh diều
Giải chuyên đề Hóa học 12 Cánh diều
Giải chuyên đề Sinh học 12 Cánh diều
Giải chuyên đề Kinh tế pháp luật 12 Cánh diều
Giải chuyên đề Lịch sử 12 Cánh diều
Giải chuyên đề Địa lí 12 Cánh diều
Giải chuyên đề Tin học ứng dụng 12 Cánh diều
Giải chuyên đề Khoa học máy tính 12 Cánh diều
Giải chuyên đề Công nghệ 12 Điện - điện tử Cánh diều
Giải chuyên đề Công nghệ 12 Lâm nghiệp thủy sản Cánh diều
 
                            
Bình luận