Câu hỏi tự luận mức độ vận dụng Toán 12 cd Bài 2: Nguyên hàm của một số hàm số sơ cấp
3. VẬN DỤNG (6 câu)
Câu 1: Tìm nguyên hàm của hàm số:
a)
b) ![]()
c)
d) ![]()
Câu 2: Cho hàm số
thoả mãn
và
với mọi
. Tính giá trị của
.
Câu 3: Tìm giá trị của tham số
biết
là nguyên hàm của hàm số
thoả mãn
và
.
Câu 4: Xét dao động điều hoà của một chất điểm có vận tốc tức thời tại thời điểm
là:
, trong đó,
tính bằng giây,
tính bằng m/s. Tìm phương trình li độ
, biết
là đạo hàm của
và
(m).
Câu 5: Đối với các dự án xây dựng, chi phí nhân công lao động được tính theo số ngày công. Gọi
là số lượng công nhân được sử dụng ở ngày thứ
(kể từ khi khởi công dự án). Gọi
là số ngày công được tính đến hết ngày thứ
(kể từ khi khởi công dự án). Trong kinh tế xây dựng, người ta đã biết rằng
.
Một công trình xây dựng dự kiến hoàn thành trong 400 ngày. Số lượng công nhân được sử dụng cho bởi hàm số
, trong đó
tính theo ngày
,
tính theo người.
(Nguồn: A. Bigalke et al., Mathematik, Grundkurs ma-1, Cornelsen 2016).
Biết rằng đơn giá cho một ngày công lao động là 400 000 đồng. Tính chi phí nhân công lao động của công trình đó.
Câu 6: Người ta truyền nhiệt cho một bình nuôi cấy vi sinh vật từ 1॰C . Tốc độ tăng nhiệt độ của bình tại thời điểm t phút (
) được cho bởi hàm số
(॰C/ phút). Biết rằng nhiệt độ của bình đó tại thời điểm
là một nguyên hàm của hàm số
. Tìm nhiệt độ của bình tại thời điểm 3 phút kể từ khi truyền nhiệt.
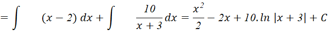
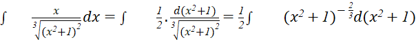
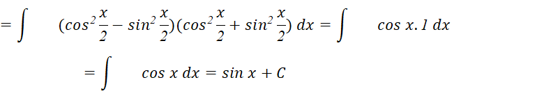
Câu 1:
a)

b) 
![]()
c) ![]()

d) ![]()
![]()
Câu 2:
Ta có: ![]()
![]()
Vì
nên ![]()
Vậy ![]()
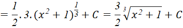
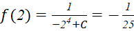
Câu 3:

![]()
Do
nên ![]()
Do
nên ![]()
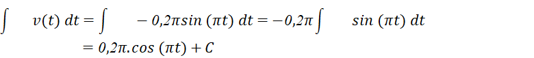
Câu 4:

Vì
là đạo hàm của
nên
là một nguyên hàm của ![]()
Ta có:
nên ![]()
Vậy ![]()
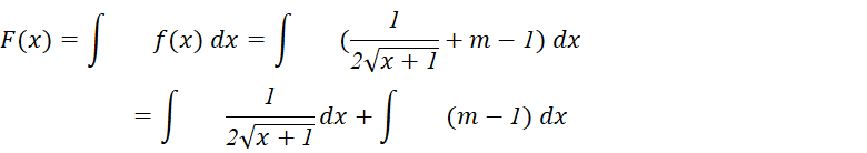
Câu 5:
với ![]()
Vì
nên ![]()
Vậy ![]()
Số ngày công được tính đến ngày thứ 400 là:
(đồng)
Vậy chi phí nhân công lao động của công trình đó là:
(đồng)
Câu 6:
![]()
Vì nhiệt độ của bình đó tại thời điểm
là một nguyên hàm của hàm số
nên ![]()
Lại có người ta truyền nhiệt cho một bình nuôi cấy vi sinh vật từ 1॰C nên
Vậy nhiệt độ của bình tại thời điểm 3 phút kể từ khi truyền nhiệt là:
(॰C)
Giải những bài tập khác
Giải bài tập những môn khác
Môn học lớp 12 KNTT
5 phút giải toán 12 KNTT
5 phút soạn bài văn 12 KNTT
Văn mẫu 12 KNTT
5 phút giải vật lí 12 KNTT
5 phút giải hoá học 12 KNTT
5 phút giải sinh học 12 KNTT
5 phút giải KTPL 12 KNTT
5 phút giải lịch sử 12 KNTT
5 phút giải địa lí 12 KNTT
5 phút giải CN lâm nghiệp 12 KNTT
5 phút giải CN điện - điện tử 12 KNTT
5 phút giải THUD12 KNTT
5 phút giải KHMT12 KNTT
5 phút giải HĐTN 12 KNTT
5 phút giải ANQP 12 KNTT
Môn học lớp 12 CTST
5 phút giải toán 12 CTST
5 phút soạn bài văn 12 CTST
Văn mẫu 12 CTST
5 phút giải vật lí 12 CTST
5 phút giải hoá học 12 CTST
5 phút giải sinh học 12 CTST
5 phút giải KTPL 12 CTST
5 phút giải lịch sử 12 CTST
5 phút giải địa lí 12 CTST
5 phút giải THUD 12 CTST
5 phút giải KHMT 12 CTST
5 phút giải HĐTN 12 bản 1 CTST
5 phút giải HĐTN 12 bản 2 CTST
Môn học lớp 12 cánh diều
5 phút giải toán 12 CD
5 phút soạn bài văn 12 CD
Văn mẫu 12 CD
5 phút giải vật lí 12 CD
5 phút giải hoá học 12 CD
5 phút giải sinh học 12 CD
5 phút giải KTPL 12 CD
5 phút giải lịch sử 12 CD
5 phút giải địa lí 12 CD
5 phút giải CN lâm nghiệp 12 CD
5 phút giải CN điện - điện tử 12 CD
5 phút giải THUD 12 CD
5 phút giải KHMT 12 CD
5 phút giải HĐTN 12 CD
5 phút giải ANQP 12 CD
Giải chuyên đề học tập lớp 12 kết nối tri thức
Giải chuyên đề Ngữ văn 12 Kết nối tri thức
Giải chuyên đề Toán 12 Kết nối tri thức
Giải chuyên đề Vật lí 12 Kết nối tri thức
Giải chuyên đề Hóa học 12 Kết nối tri thức
Giải chuyên đề Sinh học 12 Kết nối tri thức
Giải chuyên đề Kinh tế pháp luật 12 Kết nối tri thức
Giải chuyên đề Lịch sử 12 Kết nối tri thức
Giải chuyên đề Địa lí 12 Kết nối tri thức
Giải chuyên đề Tin học ứng dụng 12 Kết nối tri thức
Giải chuyên đề Khoa học máy tính 12 Kết nối tri thức
Giải chuyên đề Công nghệ 12 Điện - điện tử Kết nối tri thức
Giải chuyên đề Công nghệ 12 Lâm nghiệp thủy sản Kết nối tri thức
Giải chuyên đề học tập lớp 12 chân trời sáng tạo
Giải chuyên đề Ngữ văn 12 Chân trời sáng tạo
Giải chuyên đề Toán 12 Chân trời sáng tạo
Giải chuyên đề Vật lí 12 Chân trời sáng tạo
Giải chuyên đề Hóa học 12 Chân trời sáng tạo
Giải chuyên đề Sinh học 12 Chân trời sáng tạo
Giải chuyên đề Kinh tế pháp luật 12 Chân trời sáng tạo
Giải chuyên đề Lịch sử 12 Chân trời sáng tạo
Giải chuyên đề Địa lí 12 Chân trời sáng tạo
Giải chuyên đề Tin học ứng dụng 12 Chân trời sáng tạo
Giải chuyên đề Khoa học máy tính 12 Chân trời sáng tạo
Giải chuyên đề Công nghệ 12 Điện - điện tử Chân trời sáng tạo
Giải chuyên đề Công nghệ 12 Lâm nghiệp thủy sản Chân trời sáng tạo
Giải chuyên đề học tập lớp 12 cánh diều
Giải chuyên đề Ngữ văn 12 Cánh diều
Giải chuyên đề Toán 12 Cánh diều
Giải chuyên đề Vật lí 12 Cánh diều
Giải chuyên đề Hóa học 12 Cánh diều
Giải chuyên đề Sinh học 12 Cánh diều
Giải chuyên đề Kinh tế pháp luật 12 Cánh diều
Giải chuyên đề Lịch sử 12 Cánh diều
Giải chuyên đề Địa lí 12 Cánh diều
Giải chuyên đề Tin học ứng dụng 12 Cánh diều
Giải chuyên đề Khoa học máy tính 12 Cánh diều
Giải chuyên đề Công nghệ 12 Điện - điện tử Cánh diều
Giải chuyên đề Công nghệ 12 Lâm nghiệp thủy sản Cánh diều
Bình luận