Câu hỏi tự luận mức độ vận dụng cao Toán 12 cd Bài 2: Nguyên hàm của một số hàm số sơ cấp
4. VẬN DỤNG CAO (6 câu)
Câu 1: Tìm hàm số
biết
,
và đồ thị của hàm số
cắt trục tung tại điểm có tung độ bằng
.
Câu 2: Cho hàm số
là một nguyên hàm của hàm số
trên khoảng
. Biết rằng giá trị lớn nhất của
trên khoảng
là
. Tính
.
Câu 3: Một xe ô tô đang chạy với tốc độ 72 km/h thì người lái xe bất ngờ phát hiện chướng ngại vật trên đường cách đó 110 m. Người lái xe phản ứng một giây sau đó bằng cách đạp phanh khẩn cấp. Kể từ thời điểm này, ô tô chuyển động chậm dần đều với tốc độ
(m/s), trong đó
là thời gian tính bằng giây kể từ lúc đạp phanh. Gọi
là quãng đường xe ô tô đi được trong 1 giây kể từ lúc đạp phanh.
a) Lập công thức biểu diễn hàm số
.
b) Thời gian kể từ lúc đạp phanh đến khi xe ô tô dừng hẳn là bao nhiêu giây?
c) Quãng đường xe ô tô đã di chuyển kể từ lúc người lái xe phát hiện chướng ngại vật trên đường đến khi xe ô tô dừng hẳn là bao nhiêu mét? Xe ô tô có va chạm với chướng ngại vật trên đường hay không?
Câu 4: Cây cà chua khi trồng có chiều cao 5 cm. Tốc độ tăng chiều cao của cây cà chua sau khi trồng được cho bởi hàm số
, trong đó
tính theo tuần,
tính bằng centimét/tuần. Gọi
(tính bằng centimét) là độ cao của cây cà chua ở tuần thứ
(Nguồn: A. Bigalke et al., Mathematik, Grundkurs ma-1, Cornelsen 2016).
a) Viết công thức xác định hàm số
(
).
b) Giai đoạn tăng trưởng của cây cà chua đó kéo dài bao lâu?
c) Chiều cao tối đa của cây cà chua đó là bao nhiêu centimét? (Làm tròn kết quả đến hàng phần mười).
d) Vào thời điểm cây cà chua đó phát triển nhanh nhất thì cây cà chua cao bao nhiêu centimét? (Làm tròn kết quả đến hàng phần mười).
Câu 5: Một nhà khoa học tự chế tên lửa và phóng tên lửa từ mặt đất với vận tốc ban đầu là 20 m/s. Giả sử bỏ qua sức cản của gió, tên lửa chỉ chịu tác động của trọng lực. Hỏi sau 2s thì tên lửa đạt đến tốc độ là bao nhiêu?
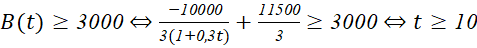
Câu 6: Tốc độ phát triển của số lượng vi khuẩn trong hồ bơi được mô hình bởi hàm số
trong đó
là số lượng vi khuẩn trên mỗi ml nước tại ngày thứ
. Số lượng vi khuẩn ban đầu là 500 con trên mỗi ml nước. Biết rằng mức độ an toàn cho người sử dụng hồ bơi là số vi khuẩn phải dưới 3000 con trên mỗi ml nước. Hỏi sau bao nhiêu ngày thì người ta phải xử lí và thay nước mới cho hồ bơi?
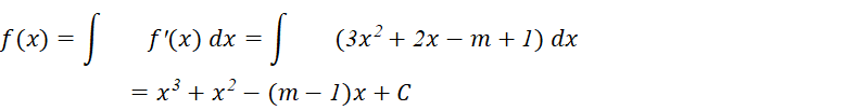
Câu 1:

Do
nên ![]()
Do đồ thị của hàm số
cắt trục tung tại điểm có tung độ bằng
nên
![]()
Câu 2:


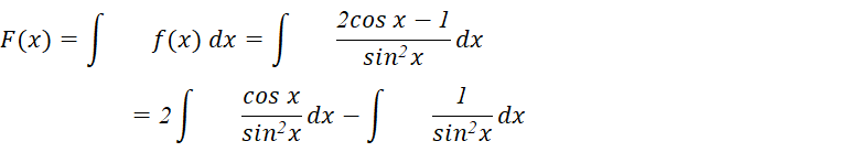
Xét hàm số
xác định và liên tục trên
, ta có:
![]()
![]()
Trên khoảng
, phương trình
có một nghiệm
, ta có bảng biến thiên:

Do đó ![]()
Khi đó ![]()
Câu 3:
a) Ta có: ![]()
Do
nên
. Suy ra ![]()
b) Xe ô tô dừng hẳn khi
, tức là
hay
.
Vậy thời gian kể từ lúc đạp phanh đến khi xe ô tô dừng hẳn là 2 giây.
c) Ta có: 72 km/h = 20 m/s.
Quãng đường xe ô tô còn di chuyển được kể từ lúc đạp phanh đến khi xe dừng hẳn là:
(m).
Vậy quãng đường xe ô tô đã di chuyển kể từ lúc người lái xe phát hiện chướng ngại vật trên đường đến khi xe ô tô dừng hẳn là:
(m).
Do
nên xe ô tô đã dừng hẳn trước khi va chạm với chướng ngại vật trên đường. Vì thế, ô tô đó không va chạm với chướng ngại vật.
Câu 4:
a) Ta có: ![]()
Do
là một nguyên hàm của
nên ![]()
Cây cà chua khi trồng có chiều cao 5 cm nên ![]()
Vậy ![]()
b) Cây tăng trưởng khi
![]()
Suy ra ![]()
Vậy giai đoạn tăng trưởng của cây cà chua đó kéo dài 10 tuần
c) Xét hàm số
với
ta có:
hoặc ![]()
Ta thấy
và
. Khi đó
đạt giá trị lớn nhất bằng
trên đoạn ![]()
Vậy chiều cao tối đa của cây cà chua đó là
(cm)
d) Xét hàm số
với
ta có:
hoặc ![]()
Ta thấy
và
. Khi đó
đạt giá trị lớn nhất bằng
trên đoạn
tại ![]()
Ta có
Vậy vào thời điểm cây cà chua đó phát triển nhanh nhất thì cây cà chua cao 54,4 cm.
Câu 5:
Giả sử tại thời điểm
thì nhà khoa học phóng tên lửa với vận tốc 20 m/s
Vì tên lửa chuyển động thẳng đứng theo chiều từ dưới lên và chỉ chịu tác động của trọng lực nên gia tốc ![]()
Ta có: ![]()
Vì vận tốc
là một nguyên hàm của gia tốc
nên ![]()
Do
nên ![]()
Vậy sau 2s thì tên lửa đạt đến tốc độ là:
(m/s)
Câu 6:

Vì số lượng vi khuẩn ban đầu là 500 con trên mỗi ml nước nên ![]()
Vậy ![]()
Do mức độ an toàn cho người sử dụng hồ bơi là số vi khuẩn phải dưới 3000 con trên mỗi ml nước nên người ta phải xử lí và thay nước mới cho hồ bơi khi ![]()
Vậy sau 10 ngày thì người ta phải xử lí và thay nước mới cho hồ bơi.
Giải những bài tập khác
Giải bài tập những môn khác
Môn học lớp 12 KNTT
5 phút giải toán 12 KNTT
5 phút soạn bài văn 12 KNTT
Văn mẫu 12 KNTT
5 phút giải vật lí 12 KNTT
5 phút giải hoá học 12 KNTT
5 phút giải sinh học 12 KNTT
5 phút giải KTPL 12 KNTT
5 phút giải lịch sử 12 KNTT
5 phút giải địa lí 12 KNTT
5 phút giải CN lâm nghiệp 12 KNTT
5 phút giải CN điện - điện tử 12 KNTT
5 phút giải THUD12 KNTT
5 phút giải KHMT12 KNTT
5 phút giải HĐTN 12 KNTT
5 phút giải ANQP 12 KNTT
Môn học lớp 12 CTST
5 phút giải toán 12 CTST
5 phút soạn bài văn 12 CTST
Văn mẫu 12 CTST
5 phút giải vật lí 12 CTST
5 phút giải hoá học 12 CTST
5 phút giải sinh học 12 CTST
5 phút giải KTPL 12 CTST
5 phút giải lịch sử 12 CTST
5 phút giải địa lí 12 CTST
5 phút giải THUD 12 CTST
5 phút giải KHMT 12 CTST
5 phút giải HĐTN 12 bản 1 CTST
5 phút giải HĐTN 12 bản 2 CTST
Môn học lớp 12 cánh diều
5 phút giải toán 12 CD
5 phút soạn bài văn 12 CD
Văn mẫu 12 CD
5 phút giải vật lí 12 CD
5 phút giải hoá học 12 CD
5 phút giải sinh học 12 CD
5 phút giải KTPL 12 CD
5 phút giải lịch sử 12 CD
5 phút giải địa lí 12 CD
5 phút giải CN lâm nghiệp 12 CD
5 phút giải CN điện - điện tử 12 CD
5 phút giải THUD 12 CD
5 phút giải KHMT 12 CD
5 phút giải HĐTN 12 CD
5 phút giải ANQP 12 CD
Giải chuyên đề học tập lớp 12 kết nối tri thức
Giải chuyên đề Ngữ văn 12 Kết nối tri thức
Giải chuyên đề Toán 12 Kết nối tri thức
Giải chuyên đề Vật lí 12 Kết nối tri thức
Giải chuyên đề Hóa học 12 Kết nối tri thức
Giải chuyên đề Sinh học 12 Kết nối tri thức
Giải chuyên đề Kinh tế pháp luật 12 Kết nối tri thức
Giải chuyên đề Lịch sử 12 Kết nối tri thức
Giải chuyên đề Địa lí 12 Kết nối tri thức
Giải chuyên đề Tin học ứng dụng 12 Kết nối tri thức
Giải chuyên đề Khoa học máy tính 12 Kết nối tri thức
Giải chuyên đề Công nghệ 12 Điện - điện tử Kết nối tri thức
Giải chuyên đề Công nghệ 12 Lâm nghiệp thủy sản Kết nối tri thức
Giải chuyên đề học tập lớp 12 chân trời sáng tạo
Giải chuyên đề Ngữ văn 12 Chân trời sáng tạo
Giải chuyên đề Toán 12 Chân trời sáng tạo
Giải chuyên đề Vật lí 12 Chân trời sáng tạo
Giải chuyên đề Hóa học 12 Chân trời sáng tạo
Giải chuyên đề Sinh học 12 Chân trời sáng tạo
Giải chuyên đề Kinh tế pháp luật 12 Chân trời sáng tạo
Giải chuyên đề Lịch sử 12 Chân trời sáng tạo
Giải chuyên đề Địa lí 12 Chân trời sáng tạo
Giải chuyên đề Tin học ứng dụng 12 Chân trời sáng tạo
Giải chuyên đề Khoa học máy tính 12 Chân trời sáng tạo
Giải chuyên đề Công nghệ 12 Điện - điện tử Chân trời sáng tạo
Giải chuyên đề Công nghệ 12 Lâm nghiệp thủy sản Chân trời sáng tạo
Giải chuyên đề học tập lớp 12 cánh diều
Giải chuyên đề Ngữ văn 12 Cánh diều
Giải chuyên đề Toán 12 Cánh diều
Giải chuyên đề Vật lí 12 Cánh diều
Giải chuyên đề Hóa học 12 Cánh diều
Giải chuyên đề Sinh học 12 Cánh diều
Giải chuyên đề Kinh tế pháp luật 12 Cánh diều
Giải chuyên đề Lịch sử 12 Cánh diều
Giải chuyên đề Địa lí 12 Cánh diều
Giải chuyên đề Tin học ứng dụng 12 Cánh diều
Giải chuyên đề Khoa học máy tính 12 Cánh diều
Giải chuyên đề Công nghệ 12 Điện - điện tử Cánh diều
Giải chuyên đề Công nghệ 12 Lâm nghiệp thủy sản Cánh diều
Bình luận