Câu hỏi tự luận mức độ nhận biết Toán 12 ctst Bài 3: Đường tiệm cận của đồ thị hàm số
2. THÔNG HIỂU (10 CÂU)
Câu 1: Cho đồ thị một hàm số có hình vẽ như hình dưới đây.
Hỏi đồ thị trên có bao nhiêu đường tiệm cận?

Câu 2: Đồ thị hàm số
có tất cả bao nhiêu đường tiệm cận đứng?
Câu 3: Cho hàm số
. Tổng số tiệm cận đứng và tiệm cận ngang của đồ thị hàm số đã cho là?
Câu 4: Đồ thị hàm số
có bao nhiêu đường tiệm cận?
Câu 5: Tổng số đường tiệm cận đứng và tiệm cận ngang của đồ thị hàm số
bằng?
Câu 6: Tìm tất cả các giá trị thực của tham số m để đồ thị hàm số
có tiệm cận đi qua điểm
.
Câu 7: Đồ thị hàm số
có mấy đường tiệm cận?
Câu 8: Tìm số đường tiệm cận của đồ thị hàm số
.
Câu 9: Tìm đường tiệm cận xiên của đồ thị hàm số
.
Câu 10: Tìm giao điểm của trục tung với tiệm cận xiên của đường cong ![]()
Câu 1:
Đồ thị hàm số có 2 TCN là
và 2 TCĐ là
;
.
Câu 2:
TXĐ:
.
Vì
nên đường thẳng
là tiệm cận đứng của đồ thị hàm số
Vì
nên đường thẳng
không là tiệm cận đứng của đồ thị hàm số.
Vậy đồ thị hàm số có
đường tiệm cận đứng
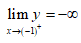
Câu 3:
TXĐ: ![]()
+)
đồ thị hàm số có tiệm cận ngang
.
+)
đồ thị hàm số có tiệm cận đứng
.
+)
.
Vậy đồ thị hàm số có tiệm cận ngang
, tiệm cận đứng ![]()
Câu 4:
TXĐ:
.
Ta có:
;
đường thẳng
là đường tiệm cận ngang của đồ thị hàm số.
đường thẳng
là đường tiệm cận đứng của đồ thị hàm số.
là đường tiệm cận đứng của đồ thị hàm số.
Vậy đồ thị của hàm số đã cho có
đường tiệm cận.
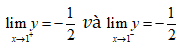
Câu 5:
Tập xác định
.
Ta có ![]()
Do đó
là tiệm cận đứng của đồ thị hàm số.
Mặt khác
.
Do đó
là tiệm cận ngang của đồ thị hàm số.
Vậy đồ thị hàm số đã cho hai đường tiệm cận.
Câu 6:
Điều kiện để hàm số không suy biến là![]()
Khi đó đồ thị hàm số có hai tiệm cận là: ![]()
Vì đồ thị hàm số có tiệm cận đi qua điểm A(1;4) nên ta có
.
Câu 7:
Đồ thị hàm số đã cho có 2 tiệm cận đứng x = 0, x = 1 và một tiệm cận ngang là y = 1.
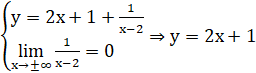
Câu 8:
Tập xác định![]()
Ta có
là tiệm cận đứng
Ta có
là tiệm cận xiên
Vậy hàm số có 2 đường tiệm cận.
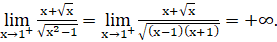
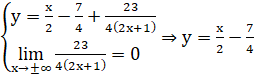
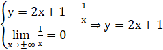
Câu 9:
Ta có ![]()
Ta có
là tiệm cận xiên.
Câu 10:
Ta có ![]()
Ta có
là tiệm cận xiên
Giao điểm của tiệm cận xiên với trục tung là điểm
.
Giải những bài tập khác
Giải bài tập những môn khác
Môn học lớp 12 KNTT
5 phút giải toán 12 KNTT
5 phút soạn bài văn 12 KNTT
Văn mẫu 12 KNTT
5 phút giải vật lí 12 KNTT
5 phút giải hoá học 12 KNTT
5 phút giải sinh học 12 KNTT
5 phút giải KTPL 12 KNTT
5 phút giải lịch sử 12 KNTT
5 phút giải địa lí 12 KNTT
5 phút giải CN lâm nghiệp 12 KNTT
5 phút giải CN điện - điện tử 12 KNTT
5 phút giải THUD12 KNTT
5 phút giải KHMT12 KNTT
5 phút giải HĐTN 12 KNTT
5 phút giải ANQP 12 KNTT
Môn học lớp 12 CTST
5 phút giải toán 12 CTST
5 phút soạn bài văn 12 CTST
Văn mẫu 12 CTST
5 phút giải vật lí 12 CTST
5 phút giải hoá học 12 CTST
5 phút giải sinh học 12 CTST
5 phút giải KTPL 12 CTST
5 phút giải lịch sử 12 CTST
5 phút giải địa lí 12 CTST
5 phút giải THUD 12 CTST
5 phút giải KHMT 12 CTST
5 phút giải HĐTN 12 bản 1 CTST
5 phút giải HĐTN 12 bản 2 CTST
Môn học lớp 12 cánh diều
5 phút giải toán 12 CD
5 phút soạn bài văn 12 CD
Văn mẫu 12 CD
5 phút giải vật lí 12 CD
5 phút giải hoá học 12 CD
5 phút giải sinh học 12 CD
5 phút giải KTPL 12 CD
5 phút giải lịch sử 12 CD
5 phút giải địa lí 12 CD
5 phút giải CN lâm nghiệp 12 CD
5 phút giải CN điện - điện tử 12 CD
5 phút giải THUD 12 CD
5 phút giải KHMT 12 CD
5 phút giải HĐTN 12 CD
5 phút giải ANQP 12 CD
Giải chuyên đề học tập lớp 12 kết nối tri thức
Giải chuyên đề Ngữ văn 12 Kết nối tri thức
Giải chuyên đề Toán 12 Kết nối tri thức
Giải chuyên đề Vật lí 12 Kết nối tri thức
Giải chuyên đề Hóa học 12 Kết nối tri thức
Giải chuyên đề Sinh học 12 Kết nối tri thức
Giải chuyên đề Kinh tế pháp luật 12 Kết nối tri thức
Giải chuyên đề Lịch sử 12 Kết nối tri thức
Giải chuyên đề Địa lí 12 Kết nối tri thức
Giải chuyên đề Tin học ứng dụng 12 Kết nối tri thức
Giải chuyên đề Khoa học máy tính 12 Kết nối tri thức
Giải chuyên đề Công nghệ 12 Điện - điện tử Kết nối tri thức
Giải chuyên đề Công nghệ 12 Lâm nghiệp thủy sản Kết nối tri thức
Giải chuyên đề học tập lớp 12 chân trời sáng tạo
Giải chuyên đề Ngữ văn 12 Chân trời sáng tạo
Giải chuyên đề Toán 12 Chân trời sáng tạo
Giải chuyên đề Vật lí 12 Chân trời sáng tạo
Giải chuyên đề Hóa học 12 Chân trời sáng tạo
Giải chuyên đề Sinh học 12 Chân trời sáng tạo
Giải chuyên đề Kinh tế pháp luật 12 Chân trời sáng tạo
Giải chuyên đề Lịch sử 12 Chân trời sáng tạo
Giải chuyên đề Địa lí 12 Chân trời sáng tạo
Giải chuyên đề Tin học ứng dụng 12 Chân trời sáng tạo
Giải chuyên đề Khoa học máy tính 12 Chân trời sáng tạo
Giải chuyên đề Công nghệ 12 Điện - điện tử Chân trời sáng tạo
Giải chuyên đề Công nghệ 12 Lâm nghiệp thủy sản Chân trời sáng tạo
Giải chuyên đề học tập lớp 12 cánh diều
Giải chuyên đề Ngữ văn 12 Cánh diều
Giải chuyên đề Toán 12 Cánh diều
Giải chuyên đề Vật lí 12 Cánh diều
Giải chuyên đề Hóa học 12 Cánh diều
Giải chuyên đề Sinh học 12 Cánh diều
Giải chuyên đề Kinh tế pháp luật 12 Cánh diều
Giải chuyên đề Lịch sử 12 Cánh diều
Giải chuyên đề Địa lí 12 Cánh diều
Giải chuyên đề Tin học ứng dụng 12 Cánh diều
Giải chuyên đề Khoa học máy tính 12 Cánh diều
Giải chuyên đề Công nghệ 12 Điện - điện tử Cánh diều
Giải chuyên đề Công nghệ 12 Lâm nghiệp thủy sản Cánh diều
Bình luận