Câu hỏi tự luận mức độ vận dụng Toán 9 cd bài 1: Hình trụ
3. VẬN DỤNG (6 câu)
Câu 1: Cho hình chữ nhật
có
. Gọi
lần lượt là trung điểm của
và
. Quay hình chữ nhật đó xung quanh trục
ta được một hình trụ như hình vẽ.

a) Tính diện tích toàn phần
của hình trụ đó.
b) Tính thể tích hình trụ đó.
Câu 2: Cho hình chữ nhật
có
,
. Gọi
,
lần lượt là trung điểm của các cạnh
và
. Khi quay hình chữ nhật trên quanh đường thẳng
ta nhận được một hình trụ như hình vẽ.

a) Tính diện tích toàn phần của hình trụ theo
.
b) Tính thể tích của hình trụ theo
.
Câu 3: Một khúc gỗ hình trụ có đường kính đáy bằng 1,2 m, chiều cao bằng bán kính đáy (như hình vẽ).

a) Tính diện tích xung quanh của khúc gỗ đó (làm tròn kết quả đến phần trăm).
b) Với thành hiện tại,
gỗ trên bán được 5 triệu đồng. Hãy tính giá thành khúc gỗ trên nếu đem đi bán.
Câu 4: Một doanh nghiệp sản xuất vỏ hộp sữa ông thọ dạng hình trụ, có chiều cao bằng 12 cm. Biết thể tích của hộp là 192p cm3. Tính số tiền mà doanh nghiệp cần chi để sản xuất 10 000 vỏ hộp sữa ông thọ (kể cả hai nắp hộp), biết chi phí để sản xuất vỏ hộp đó là 80 000 đồng/m2. (làm tròn kết quả đến phần ngàn).
Câu 5: Một cái mũ bằng vải của nhà ảo thuật có dạng hình trụ và với kích thước mô phỏng như hình vẽ.

a) Hãy tính tổng diện tích vải cần có để làm nên cái mũ đó (không tính phần viền, mép dán) (làm tròn kết quả đến phần trăm ).
b) Hãy tính thể tích phần có dạng hình nón của chiếc mũ đó (làm tròn kết quả đến phần trăm).


Câu 1:
Hình trụ đã cho có chiều cao là
và đáy là hình tròn tâm
bán kính
.
a) ![]()
a) ![]()
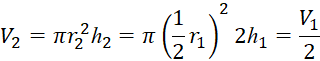
Câu 2:
Quay hình chữ nhật
quanh trục
ta được hình trụ có đường cao là
, bán kính đường tròn đáy là
.
a) Vậy diện tích toàn phần của hình trụ là:
(đvdt)
b) Thể tích khối tròn xoay
là:
(đvtt)
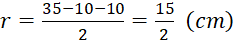
Câu 3:

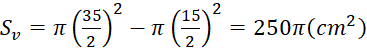
a) Vì khúc gỗ hình trụ cón bán kính đáy
và chiều cao
nên diện tích xung quanh của khúc gỗ là:
![]()
Vậy diện tích xung quanh khúc gỗ là ![]()
b) Thể tích khúc gỗ là: ![]()
gỗ trên bán được 5 triệu đồng nên
gỗ sẽ bán được
triệu đồng
Câu 4:
Vì hộp sữa hình trụ có chiều cao h = 12 cm và thể tích Vhộp = 192p cm3 nên:
![]()
![]()
![]()
![]()
Vì hộp sữa hình trụ có
và chiều cao h = 12 cm nên diện tích toàn phần của hộp sữa là:
![]()
Chi phí sản xuất 10 000 vỏ hộp sữa là :
đồng
Câu 5:
a) Bán kính hình trụ của cái mũ là
.
Đường cao hình trụ của cái mũ là
.
Diện tích xung hình trụ là:
.
Diện tích vành mũ là:
.
Vậy tổng diện tích vải cần có để làm nên cái mũ đó (không tính phần viền, mép dán) là:
.
b) thể tích phần có dạng hình nón của chiếc mũ là

Câu 6:
Gọi
lần lượt là thể tích khối trụ ![]()
![]()
mà ![]()
Xem toàn bộ: Câu hỏi tự luận Toán 9 Cánh diều bài 1: Hình trụ
Giải những bài tập khác
Giải bài tập những môn khác
Môn học lớp 9 KNTT
5 phút giải toán 9 KNTT
5 phút soạn bài văn 9 KNTT
Văn mẫu 9 kết nối tri thức
5 phút giải KHTN 9 KNTT
5 phút giải lịch sử 9 KNTT
5 phút giải địa lí 9 KNTT
5 phút giải hướng nghiệp 9 KNTT
5 phút giải lắp mạng điện 9 KNTT
5 phút giải trồng trọt 9 KNTT
5 phút giải CN thực phẩm 9 KNTT
5 phút giải tin học 9 KNTT
5 phút giải GDCD 9 KNTT
5 phút giải HĐTN 9 KNTT
Môn học lớp 9 CTST
5 phút giải toán 9 CTST
5 phút soạn bài văn 9 CTST
Văn mẫu 9 chân trời sáng tạo
5 phút giải KHTN 9 CTST
5 phút giải lịch sử 9 CTST
5 phút giải địa lí 9 CTST
5 phút giải hướng nghiệp 9 CTST
5 phút giải lắp mạng điện 9 CTST
5 phút giải cắt may 9 CTST
5 phút giải nông nghiệp 9 CTST
5 phút giải tin học 9 CTST
5 phút giải GDCD 9 CTST
5 phút giải HĐTN 9 bản 1 CTST
5 phút giải HĐTN 9 bản 2 CTST
Môn học lớp 9 cánh diều
5 phút giải toán 9 CD
5 phút soạn bài văn 9 CD
Văn mẫu 9 cánh diều
5 phút giải KHTN 9 CD
5 phút giải lịch sử 9 CD
5 phút giải địa lí 9 CD
5 phút giải hướng nghiệp 9 CD
5 phút giải lắp mạng điện 9 CD
5 phút giải trồng trọt 9 CD
5 phút giải CN thực phẩm 9 CD
5 phút giải tin học 9 CD
5 phút giải GDCD 9 CD
5 phút giải HĐTN 9 CD
Trắc nghiệm 9 Kết nối tri thức
Trắc nghiệm 9 Chân trời sáng tạo
Trắc nghiệm 9 Cánh diều
Tài liệu lớp 9
Văn mẫu lớp 9
Đề thi lên 10 Toán
Đề thi môn Hóa 9
Đề thi môn Địa lớp 9
Đề thi môn vật lí 9
Tập bản đồ địa lí 9
Ôn toán 9 lên 10
Ôn Ngữ văn 9 lên 10
Ôn Tiếng Anh 9 lên 10
Đề thi lên 10 chuyên Toán
Chuyên đề ôn tập Hóa 9
Chuyên đề ôn tập Sử lớp 9
Chuyên đề toán 9
Chuyên đề Địa Lý 9
Phát triển năng lực toán 9 tập 1
Bài tập phát triển năng lực toán 9
Bình luận