Câu hỏi tự luận mức độ vận dụng cao Toán 9 cd bài 1: Hình trụ
4. VẬN DỤNG CAO (2 câu)
Câu 1: Một chiếc tạ tay có hình dạng gồm 3 khối trụ, trong đó hai khối trụ ở hai đầu bằng nhau và khối trụ làm tay cầm ở giữa. Gọi khối trụ làm đầu tạ là
và khối trụ làm tay cầm là
lần lượt có bán kính và chiều cao tương ứng là
,
,
,
thỏa mãn
,
. Biết rằng thể tích của khối trụ tay cầm
bằng 30
và chiếc tạ làm bằng inox có khối lượng riêng là
. Khối lượng của chiếc tạ tay bằng
Câu 2: Từ một tấm tôn hình chữ nhật kích thước
x
, người ta làm các thùng đựng nước hình trụ có chiều cao bằng
, theo hai cách sau:
• Cách 1: Gò tấm tôn ban đầu thành mặt xung quanh của thùng.
• Cách 2: Cắt tấm tôn ban đầu thành hai tấm bằng nhau, rồi gò mỗi tấm đó thành mặt xung quanh của một thùng.
Kí hiệu
là thể tích của thùng gò được theo cách 1 và
là tổng thể tích của hai thùng gò được theo cách 2. Tính tỉ số
.
Câu 1:

Thể tích của hai khối trụ làm đầu tạ
:
.
Tổng thể tích của chiếc tạ tay:
.
Khối lượng của chiếc tạ:
.
Câu 2:

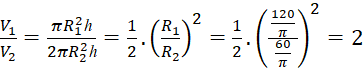
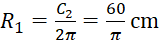
Ở cách 1, thùng hình trụ có chiều cao
, chu vi đáy
nên bán kính đáy
. Do đó thể tích của thùng là
.
Ở cách 2, hai thùng đều có có chiều cao
, chu vi đáy
nên bán kính đáy
. Do đó tổng thể tích của hai thùng là
.
Vậy
.
Xem toàn bộ: Câu hỏi tự luận Toán 9 Cánh diều bài 1: Hình trụ
Giải những bài tập khác
Giải bài tập những môn khác
Môn học lớp 9 KNTT
5 phút giải toán 9 KNTT
5 phút soạn bài văn 9 KNTT
Văn mẫu 9 kết nối tri thức
5 phút giải KHTN 9 KNTT
5 phút giải lịch sử 9 KNTT
5 phút giải địa lí 9 KNTT
5 phút giải hướng nghiệp 9 KNTT
5 phút giải lắp mạng điện 9 KNTT
5 phút giải trồng trọt 9 KNTT
5 phút giải CN thực phẩm 9 KNTT
5 phút giải tin học 9 KNTT
5 phút giải GDCD 9 KNTT
5 phút giải HĐTN 9 KNTT
Môn học lớp 9 CTST
5 phút giải toán 9 CTST
5 phút soạn bài văn 9 CTST
Văn mẫu 9 chân trời sáng tạo
5 phút giải KHTN 9 CTST
5 phút giải lịch sử 9 CTST
5 phút giải địa lí 9 CTST
5 phút giải hướng nghiệp 9 CTST
5 phút giải lắp mạng điện 9 CTST
5 phút giải cắt may 9 CTST
5 phút giải nông nghiệp 9 CTST
5 phút giải tin học 9 CTST
5 phút giải GDCD 9 CTST
5 phút giải HĐTN 9 bản 1 CTST
5 phút giải HĐTN 9 bản 2 CTST
Môn học lớp 9 cánh diều
5 phút giải toán 9 CD
5 phút soạn bài văn 9 CD
Văn mẫu 9 cánh diều
5 phút giải KHTN 9 CD
5 phút giải lịch sử 9 CD
5 phút giải địa lí 9 CD
5 phút giải hướng nghiệp 9 CD
5 phút giải lắp mạng điện 9 CD
5 phút giải trồng trọt 9 CD
5 phút giải CN thực phẩm 9 CD
5 phút giải tin học 9 CD
5 phút giải GDCD 9 CD
5 phút giải HĐTN 9 CD
Trắc nghiệm 9 Kết nối tri thức
Trắc nghiệm 9 Chân trời sáng tạo
Trắc nghiệm 9 Cánh diều
Tài liệu lớp 9
Văn mẫu lớp 9
Đề thi lên 10 Toán
Đề thi môn Hóa 9
Đề thi môn Địa lớp 9
Đề thi môn vật lí 9
Tập bản đồ địa lí 9
Ôn toán 9 lên 10
Ôn Ngữ văn 9 lên 10
Ôn Tiếng Anh 9 lên 10
Đề thi lên 10 chuyên Toán
Chuyên đề ôn tập Hóa 9
Chuyên đề ôn tập Sử lớp 9
Chuyên đề toán 9
Chuyên đề Địa Lý 9
Phát triển năng lực toán 9 tập 1
Bài tập phát triển năng lực toán 9
Bình luận