Câu hỏi tự luận mức độ thông hiểu Toán 9 cd bài 1: Hình trụ
2. THÔNG HIỂU (4 câu)
Câu 1: Tạo lập hình trụ có bán kính đáy
và thể tích ![]()
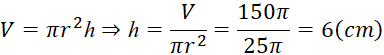
Câu 2: Cho hình trụ có bán kính đáy bằng
. Biết rằng hình trụ đó có diện tích toàn phần gấp đôi diện tích xung quanh. Tính chiều cao hình trụ.
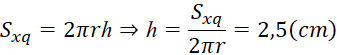
Câu 3: Thay dấu “
”bằng giá trị thích hợp và hoàn thành bảng sau:
| Hình trụ | Bán kính đáy (cm) | Chiều cao (cm) | Diện tích xung quanh (cm2) | Diện tích toàn phần (cm2) | Thể tích (cm3) |
![]() | |||||
Câu 4: Hỏi nếu tăng chiều cao của khối trụ lên
lần, bán kính của nó lên
lần thì thể tích của khối trụ mới sẽ tăng bao nhiêu lần so với khối trụ ban đầu?
Câu 1:
Chiều cao hình trụ là: ![]()
Bước 1: Cắt hai miếng bìa có dạng hình tròn với bán kính
(hình 1).

Bước 2: Cắt một tấm bìa hình chữ nhật
có cạnh
và cạnh
(hình 2).

Bước 3: Ghép và dán các miếng bìa vừa cắt ở bước 1, bước 2 (hình 3), ta được một hình trụ có bán kính đáy
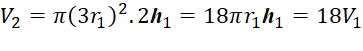
và chiều cao
hay một hình trụ có bán kính đáy
và thể tích
(hình 4).

Câu 2:
Ta có: ![]()
![]()
![]()
![]()
![]()
Câu 3:
· Với ![]()
![]()
![]()
![]()
· Với ![]()
![]()
![]()
![]()
· Với ![]()
![]()
![]()
![]()
![]()
![]()
![]()
· Với ![]()
![]()
![]()
![]()
Câu 4:
Giả sử ban đầu khối trụ có chiều cao
và bán kính
. Khi đó, khối trụ có thể tích là
.
Sau khi tăng chiều cao của khối trụ lên
lần, bán kính của nó lên
lần thì khối trụ có chiều cao
và bán kính
. Khi đó, khối trụ mới có thể tích là
.
Vậy thể tích của khối trụ mới sẽ tăng 18 lần so với khối trụ ban đầu
Xem toàn bộ: Câu hỏi tự luận Toán 9 Cánh diều bài 1: Hình trụ
Giải những bài tập khác
Giải bài tập những môn khác
Môn học lớp 9 KNTT
5 phút giải toán 9 KNTT
5 phút soạn bài văn 9 KNTT
Văn mẫu 9 kết nối tri thức
5 phút giải KHTN 9 KNTT
5 phút giải lịch sử 9 KNTT
5 phút giải địa lí 9 KNTT
5 phút giải hướng nghiệp 9 KNTT
5 phút giải lắp mạng điện 9 KNTT
5 phút giải trồng trọt 9 KNTT
5 phút giải CN thực phẩm 9 KNTT
5 phút giải tin học 9 KNTT
5 phút giải GDCD 9 KNTT
5 phút giải HĐTN 9 KNTT
Môn học lớp 9 CTST
5 phút giải toán 9 CTST
5 phút soạn bài văn 9 CTST
Văn mẫu 9 chân trời sáng tạo
5 phút giải KHTN 9 CTST
5 phút giải lịch sử 9 CTST
5 phút giải địa lí 9 CTST
5 phút giải hướng nghiệp 9 CTST
5 phút giải lắp mạng điện 9 CTST
5 phút giải cắt may 9 CTST
5 phút giải nông nghiệp 9 CTST
5 phút giải tin học 9 CTST
5 phút giải GDCD 9 CTST
5 phút giải HĐTN 9 bản 1 CTST
5 phút giải HĐTN 9 bản 2 CTST
Môn học lớp 9 cánh diều
5 phút giải toán 9 CD
5 phút soạn bài văn 9 CD
Văn mẫu 9 cánh diều
5 phút giải KHTN 9 CD
5 phút giải lịch sử 9 CD
5 phút giải địa lí 9 CD
5 phút giải hướng nghiệp 9 CD
5 phút giải lắp mạng điện 9 CD
5 phút giải trồng trọt 9 CD
5 phút giải CN thực phẩm 9 CD
5 phút giải tin học 9 CD
5 phút giải GDCD 9 CD
5 phút giải HĐTN 9 CD
Trắc nghiệm 9 Kết nối tri thức
Trắc nghiệm 9 Chân trời sáng tạo
Trắc nghiệm 9 Cánh diều
Tài liệu lớp 9
Văn mẫu lớp 9
Đề thi lên 10 Toán
Đề thi môn Hóa 9
Đề thi môn Địa lớp 9
Đề thi môn vật lí 9
Tập bản đồ địa lí 9
Ôn toán 9 lên 10
Ôn Ngữ văn 9 lên 10
Ôn Tiếng Anh 9 lên 10
Đề thi lên 10 chuyên Toán
Chuyên đề ôn tập Hóa 9
Chuyên đề ôn tập Sử lớp 9
Chuyên đề toán 9
Chuyên đề Địa Lý 9
Phát triển năng lực toán 9 tập 1
Bài tập phát triển năng lực toán 9

Bình luận