Câu hỏi tự luận mức độ vận dụng cao Toán 9 cd bài 3: Định lí Viète
4. VẬN DỤNG CAO (2 câu)
Câu 1: Cho phương trình
, với
là tham số. Tìm tất cả các giá trị của tham số
để phương trình
có hai nghiệm phân biệt
thỏa mãn
Câu 2: Cho phương trình
(
là tham số)
Gọi
là hai nghiệm của phương trình (1). Tìm m để biểu thức:
đạt giá trị nhỏ nhất.
Câu 1:
Phương trình
có
nên luôn có hai nghiệm phân biệt trái dấu.
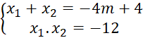
Theo định lí Viète ta có:
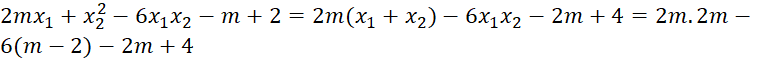
![]()
Vì
là nghiệm của phương trình
nên ta có: ![]()
![]()
![]()
![]()
![]()
![]()
![]()
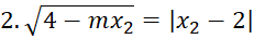
Mà theo bài có:
![]()
Thay
,
vào
ta được: ![]()
![]()
![]()
![]()
![]()
![]()
![]()
![]()
![]()
hoặc ![]()
Giải ![]()
Giải ![]()
![]()
![]()
![]()
Vậy ![]()
Câu 2:
Ta có: ![]()
Theo Viète , ta có:
Do
là nghiệm của (1) nên
Do đó ![]()
.
![]()
Dấu “=” xảy ra ![]()
Giải những bài tập khác
Giải bài tập những môn khác
Môn học lớp 9 KNTT
5 phút giải toán 9 KNTT
5 phút soạn bài văn 9 KNTT
Văn mẫu 9 kết nối tri thức
5 phút giải KHTN 9 KNTT
5 phút giải lịch sử 9 KNTT
5 phút giải địa lí 9 KNTT
5 phút giải hướng nghiệp 9 KNTT
5 phút giải lắp mạng điện 9 KNTT
5 phút giải trồng trọt 9 KNTT
5 phút giải CN thực phẩm 9 KNTT
5 phút giải tin học 9 KNTT
5 phút giải GDCD 9 KNTT
5 phút giải HĐTN 9 KNTT
Môn học lớp 9 CTST
5 phút giải toán 9 CTST
5 phút soạn bài văn 9 CTST
Văn mẫu 9 chân trời sáng tạo
5 phút giải KHTN 9 CTST
5 phút giải lịch sử 9 CTST
5 phút giải địa lí 9 CTST
5 phút giải hướng nghiệp 9 CTST
5 phút giải lắp mạng điện 9 CTST
5 phút giải cắt may 9 CTST
5 phút giải nông nghiệp 9 CTST
5 phút giải tin học 9 CTST
5 phút giải GDCD 9 CTST
5 phút giải HĐTN 9 bản 1 CTST
5 phút giải HĐTN 9 bản 2 CTST
Môn học lớp 9 cánh diều
5 phút giải toán 9 CD
5 phút soạn bài văn 9 CD
Văn mẫu 9 cánh diều
5 phút giải KHTN 9 CD
5 phút giải lịch sử 9 CD
5 phút giải địa lí 9 CD
5 phút giải hướng nghiệp 9 CD
5 phút giải lắp mạng điện 9 CD
5 phút giải trồng trọt 9 CD
5 phút giải CN thực phẩm 9 CD
5 phút giải tin học 9 CD
5 phút giải GDCD 9 CD
5 phút giải HĐTN 9 CD
Trắc nghiệm 9 Kết nối tri thức
Trắc nghiệm 9 Chân trời sáng tạo
Trắc nghiệm 9 Cánh diều
Tài liệu lớp 9
Văn mẫu lớp 9
Đề thi lên 10 Toán
Đề thi môn Hóa 9
Đề thi môn Địa lớp 9
Đề thi môn vật lí 9
Tập bản đồ địa lí 9
Ôn toán 9 lên 10
Ôn Ngữ văn 9 lên 10
Ôn Tiếng Anh 9 lên 10
Đề thi lên 10 chuyên Toán
Chuyên đề ôn tập Hóa 9
Chuyên đề ôn tập Sử lớp 9
Chuyên đề toán 9
Chuyên đề Địa Lý 9
Phát triển năng lực toán 9 tập 1
Bài tập phát triển năng lực toán 9
Bình luận