Câu hỏi tự luận mức độ nhận biết Toán 9 cd bài 1: Đường tròn ngoại tiếp tam giác. Đường tròn nội tiếp tam giác
1. NHẬN BIẾT (4 câu)
Câu 1: Cho hình vẽ sau :

a) Hình nào có đường tròn
ngoại tiếp tam giác
?
b) Hình nào có đường tròn
nội tiếp tam giác
?
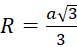
Câu 2: Nêu công thức tính bán kính đường tròn ngoại tiếp của tam giác đều cạnh là a ?
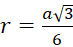
Câu 3: Nêu công thức tính bán kính đường tròn nội tiếp của tam giác đều cạnh là a ?
Câu 4: Cho tam giác
vuông tại
, có
và
. Tính bán kính đường tròn ngoại tiếp tam giác
.
Câu 1:
a) Hình ![]()
b) Hình ![]()
Câu 2:
Tam giác đều cạnh
có bán kính đường tròn ngoại tiếp là ![]()
Câu 3:
Tam giác đều cạnh
có bán kính đường tròn nội tiếp là ![]()
Câu 4:

Xét
vuông tại
, theo pythagore ta có:
![]()
![]()
![]()
![]()
Tam giác
vuông tại
nên bán kính
đường tròn ngoại tiếp tam giác
bằng nữa cạnh huyền
hay ![]()
Giải những bài tập khác
Giải bài tập những môn khác
Môn học lớp 9 KNTT
5 phút giải toán 9 KNTT
5 phút soạn bài văn 9 KNTT
Văn mẫu 9 kết nối tri thức
5 phút giải KHTN 9 KNTT
5 phút giải lịch sử 9 KNTT
5 phút giải địa lí 9 KNTT
5 phút giải hướng nghiệp 9 KNTT
5 phút giải lắp mạng điện 9 KNTT
5 phút giải trồng trọt 9 KNTT
5 phút giải CN thực phẩm 9 KNTT
5 phút giải tin học 9 KNTT
5 phút giải GDCD 9 KNTT
5 phút giải HĐTN 9 KNTT
Môn học lớp 9 CTST
5 phút giải toán 9 CTST
5 phút soạn bài văn 9 CTST
Văn mẫu 9 chân trời sáng tạo
5 phút giải KHTN 9 CTST
5 phút giải lịch sử 9 CTST
5 phút giải địa lí 9 CTST
5 phút giải hướng nghiệp 9 CTST
5 phút giải lắp mạng điện 9 CTST
5 phút giải cắt may 9 CTST
5 phút giải nông nghiệp 9 CTST
5 phút giải tin học 9 CTST
5 phút giải GDCD 9 CTST
5 phút giải HĐTN 9 bản 1 CTST
5 phút giải HĐTN 9 bản 2 CTST
Môn học lớp 9 cánh diều
5 phút giải toán 9 CD
5 phút soạn bài văn 9 CD
Văn mẫu 9 cánh diều
5 phút giải KHTN 9 CD
5 phút giải lịch sử 9 CD
5 phút giải địa lí 9 CD
5 phút giải hướng nghiệp 9 CD
5 phút giải lắp mạng điện 9 CD
5 phút giải trồng trọt 9 CD
5 phút giải CN thực phẩm 9 CD
5 phút giải tin học 9 CD
5 phút giải GDCD 9 CD
5 phút giải HĐTN 9 CD
Trắc nghiệm 9 Kết nối tri thức
Trắc nghiệm 9 Chân trời sáng tạo
Trắc nghiệm 9 Cánh diều
Tài liệu lớp 9
Văn mẫu lớp 9
Đề thi lên 10 Toán
Đề thi môn Hóa 9
Đề thi môn Địa lớp 9
Đề thi môn vật lí 9
Tập bản đồ địa lí 9
Ôn toán 9 lên 10
Ôn Ngữ văn 9 lên 10
Ôn Tiếng Anh 9 lên 10
Đề thi lên 10 chuyên Toán
Chuyên đề ôn tập Hóa 9
Chuyên đề ôn tập Sử lớp 9
Chuyên đề toán 9
Chuyên đề Địa Lý 9
Phát triển năng lực toán 9 tập 1
Bài tập phát triển năng lực toán 9
Bình luận