Lý thuyết trọng tâm Khoa học tự nhiên 9 Cánh diều bài 17: Tách kim loại. Sử dụng hợp kim
Tổng hợp kiến thức trọng tâm Khoa học tự nhiên 9 Cánh diều bài 17: Tách kim loại. Sử dụng hợp kim. Tài liệu nhằm củng cố, ôn tập lại nội dung kiến thức bài học cho học sinh dễ nhớ, dễ ôn luyện. Kéo xuống để tham khảo
Nếu chưa hiểu - hãy xem: => Lời giải chi tiết ở đây
BÀI 17. TÁCH KIM LOẠI. SỬ DỤNG HỢP KIM
A - MỤC TIÊU BÀI HỌC
- Nêu được phương pháp tách kim loại theo mức độ hoạt động hóa học của chúng.
- Trình bày được quá trình tách một số kim loại có nhiều ứng dụng như:
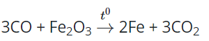
- Tách sắt ra khỏi iron (III) oxide bởi carbon oxide;
- Tách nhôm ra khỏi aluminium oxide bởi phản ứng điện phân;
- Tách kẽm ra khỏi zinc sulfide bởi oxygen và carbon (than).
- Nêu được khái niệm hợp kim.
- Giải thích vì sao trong một số trường hợp thực tiễn, kim loại được sử dụng dưới dạng hợp kim.
- Nêu được thành phần, tính chất đặc trưng của một số hợp kim phổ biến, quan trọng, hiện đại.
- Trình bày được các giai đoạn cơ bản của quá trình sản xuất gang; quá trình sản xuất thép.
B - NHỮNG KIẾN THỨC CẦN GHI NHỚ
I. Phương pháp tách kim loại
- Các phương pháp phổ biến thường được dùng để tách kim loại ở dạng đơn chất từ hợp chất gồm
1. Phương pháp điện phân nóng chảy
Thường dùng để điều chế các kim loại hoạt động hoá học mạnh như K, Na, Ca, Al,...
Ví dụ:
![]()
2. Phương pháp nhiệt luyện:
Thường dùng để điều chế các kim loại hoạt động hoá học trung bình và yếu như Zn, Fe,...
Ví dụ:
![]()
![]()
![]()
II. Hợp chất
1. Khái niệm
Hợp kim là vật liệu kim loại có chứa kim loại cơ bản và kim loại khác hoặc phi kim.
Ví dụ:
Tôn lợp nhà thường là hợp kim của sắt - kẽm, một số mạ nhôm kẽm,...để kháng nhiệt, chống ăn mòn, mang tính thẩm mỹ
2. Sử dụng hợp kim
Một số hợp kim có nhiều điểm ưu việt hơn so với kim loại: hợp kim thường có độ cứng, độ bền, khả năng chống ăn mòn và gỉ sét lớn hơn so với kim loại,...
Ví dụ:
- Những hợp kim không gỉ như inox dùng để chế tạo các dụng cụ y tế, dụng cụ làm bếp, …
- Hợp kim của vàng với Ag, Cu (vàng tây) đẹp và cứng dùng để chế tạo đồ trang sức và trước đây ở một số nước còn dùng để đúc tiền.
- Một số hợp kim của nhôm nhẹ, bền, chịu được nhiệt độ và áp suất cao dùng để tạo tên lửa, tàu vũ trụ, máy bay, ô tô,...
3. Một số hợp kim phổ biến
Hợp kim của sắt và hợp kim của nhôm được sử dụng phổ biến trong đời sống:

4. Sản xuất gang, thép
a) Sản xuất gang
Gang là hợp kim của sắt với carbon, trong đó hàm lượng carbon chiếm từ 2-5%, ngoài ra còn có một lượng nhỏ các nguyên tố khác như Si, Mn, S,...
- Nguyên liệu:
quặng sắt (Thường là quặng hematite), than cốc, chất tạo xỉ (ví dụ CaCO3, SiO2,...) và không khí.
- Các giai đoạn chính của sản xuất gang:: sản xuất gang trong lò luyện kim (lò cao).
+ Phản ứng tạo thành khí CO:

- Phản ứng khử oxide sắt thành sắt.

- Sắt nóng chảy hòa tan một ít carbon tạo thành gang.
- Đá vôi bị phân hủy thành CaO, kết hợp với SiO2 có trong quặng tạo thành xỉ.

- Xỉ nhẹ nổi lên trên và được đưa ra ở cửa tháo xỉ.

b) Sản xuất thép
- Thép là hợp kim của sắt, có dưới 2% carbon và lượng nhỏ nguyên tố khác: Si, Mn, Cr, …
- Nguyên liệu: Gang, sắt thép phế liệu, khí oxygen
- Nguyên tắc: Giảm hàm lượng tạp chất như C, Si, Mn, … bằng cách oxi hóa thành oxide
Trả lời câu hỏi mở rộng
- Khí thải trong quá trình sản xuất gang, thép là CO2 (có thể có CO nếu không phản ứng hết với oxide của sắt), SO2.
- Nếu các khí này không được xử lí mà đưa thẳng ra ngoài môi trường thì
+ Khí SO2 độc, nếu thải ra ngoài môi trường sẽ gây ô nhiễm không khí, mưa acid, cây trồng giảm năng suất, người hít phải sẽ khó thở,...
+ Khí CO độc, nếu thải ra ngoài môi trường, người hít phải sẽ khó thở, có thể dẫn đến tử vong.
+ Khi nồng độ khí CO2 vượt mức cho phép có thể dẫn đến hiệu ứng nhà kính, nóng lên toàn cầu.
Nếu chưa hiểu - hãy xem: => Lời giải chi tiết ở đây
Nội dung quan tâm khác
Thêm kiến thức môn học
Tóm tắt kiến thức Khoa học tự nhiên 9 CD bài 17: Tách kim loại. Sử dụng hợp, kiến thức trọng tâm Khoa học tự nhiên 9 Cánh diều bài 17: Tách kim loại. Sử dụng hợp, Ôn tập Khoa học tự nhiên 9 Cánh diều bài 17: Tách kim loại. Sử dụng hợp
Giải bài tập những môn khác
Môn học lớp 9 KNTT
5 phút giải toán 9 KNTT
5 phút soạn bài văn 9 KNTT
Văn mẫu 9 kết nối tri thức
5 phút giải KHTN 9 KNTT
5 phút giải lịch sử 9 KNTT
5 phút giải địa lí 9 KNTT
5 phút giải hướng nghiệp 9 KNTT
5 phút giải lắp mạng điện 9 KNTT
5 phút giải trồng trọt 9 KNTT
5 phút giải CN thực phẩm 9 KNTT
5 phút giải tin học 9 KNTT
5 phút giải GDCD 9 KNTT
5 phút giải HĐTN 9 KNTT
Môn học lớp 9 CTST
5 phút giải toán 9 CTST
5 phút soạn bài văn 9 CTST
Văn mẫu 9 chân trời sáng tạo
5 phút giải KHTN 9 CTST
5 phút giải lịch sử 9 CTST
5 phút giải địa lí 9 CTST
5 phút giải hướng nghiệp 9 CTST
5 phút giải lắp mạng điện 9 CTST
5 phút giải cắt may 9 CTST
5 phút giải nông nghiệp 9 CTST
5 phút giải tin học 9 CTST
5 phút giải GDCD 9 CTST
5 phút giải HĐTN 9 bản 1 CTST
5 phút giải HĐTN 9 bản 2 CTST
Môn học lớp 9 cánh diều
5 phút giải toán 9 CD
5 phút soạn bài văn 9 CD
Văn mẫu 9 cánh diều
5 phút giải KHTN 9 CD
5 phút giải lịch sử 9 CD
5 phút giải địa lí 9 CD
5 phút giải hướng nghiệp 9 CD
5 phút giải lắp mạng điện 9 CD
5 phút giải trồng trọt 9 CD
5 phút giải CN thực phẩm 9 CD
5 phút giải tin học 9 CD
5 phút giải GDCD 9 CD
5 phút giải HĐTN 9 CD
Trắc nghiệm 9 Kết nối tri thức
Trắc nghiệm 9 Chân trời sáng tạo
Trắc nghiệm 9 Cánh diều
Tài liệu lớp 9
Văn mẫu lớp 9
Đề thi lên 10 Toán
Đề thi môn Hóa 9
Đề thi môn Địa lớp 9
Đề thi môn vật lí 9
Tập bản đồ địa lí 9
Ôn toán 9 lên 10
Ôn Ngữ văn 9 lên 10
Ôn Tiếng Anh 9 lên 10
Đề thi lên 10 chuyên Toán
Chuyên đề ôn tập Hóa 9
Chuyên đề ôn tập Sử lớp 9
Chuyên đề toán 9
Chuyên đề Địa Lý 9
Phát triển năng lực toán 9 tập 1
Bài tập phát triển năng lực toán 9
Bình luận