Câu hỏi tự luận mức độ thông hiểu Toán 9 ctst bài 1: Hàm số và đồ thị của hàm số y=ax^2 (a ≠ 0)
2. THÔNG HIỂU (5 câu)
Câu 1: Cho hàm số
Tìm điều kiện của
biết rằng
.
Câu 2: Cho hàm số
.
a) Vẽ đồ thị của hàm số
.
b) Các điểm
có thuộc đồ thị hàm số hay không?
Câu 3: Cho hàm số
(
là tham số).
a) Tìm các giá trị của m để
khi ![]()
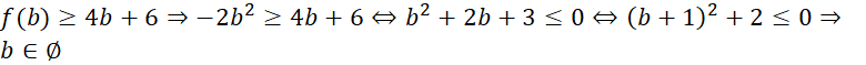
b) Tìm giá trị của m biết
thỏa mãn :![]()
Câu 4: Cho hàm số
Xác định giá trị của tham số m để các điểm sau thuộc đồ thị hàm số
a)
b)
c) ![]()
Câu 5: Xác định
để parabol
đi qua điểm ![]()
Câu 1:
Ta có: ![]()
Câu 2:
- Bảng giá trị của
tương ứng với giá trị của
như sau:

- Vẽ các điểm
thuộc đồ thị hàm số
trong mặt phẳng
.
- Vẽ đường parabol đi qua các điểm trên, ta nhận được đồ thị của hàm số ![]()

b)
- Thay
vào đồ thị của hàm số
ta được:
, do đó điểm
thuộc đồ thị hàm số đã cho.
- Thay
vào đồ thị của hàm số
ta được:
, do đó điểm
thuộc đồ thị hàm số đã cho.
- Thay
vào đồ thị của hàm số
ta được:
, do đó điểm
không thuộc đồ thị hàm số đã cho.
Câu 3:
a) Thay
và
vào hàm số
ta được:
![]()
![]()
Vậy
là giá trị cần tìm.
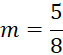
b) Ta đi giải các hệ phương trình
ta được nghiệm![]()
Thay
và hàm số
ta có:
![]()
![]()
![]()
Vậy
là giá trị cần tìm.
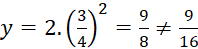
Câu 4:
a) Ta có
thuộc đồ thị hàm số
. Vậy
là giá trị cần tìm.
b) Ta có
thuộc đồ thị hàm số
. Vậy
là giá trị cần tìm.
c) Ta có
thuộc đồ thị hàm số
. Vậy
là giá trị cần tìm.
Câu 5:
Parabol
đi qua điểm
thì thay
vào
ta có : ![]()
![]()
![]()
Vậy
là giá trị cần tìm.
Giải những bài tập khác
Giải bài tập những môn khác
Môn học lớp 9 KNTT
5 phút giải toán 9 KNTT
5 phút soạn bài văn 9 KNTT
Văn mẫu 9 kết nối tri thức
5 phút giải KHTN 9 KNTT
5 phút giải lịch sử 9 KNTT
5 phút giải địa lí 9 KNTT
5 phút giải hướng nghiệp 9 KNTT
5 phút giải lắp mạng điện 9 KNTT
5 phút giải trồng trọt 9 KNTT
5 phút giải CN thực phẩm 9 KNTT
5 phút giải tin học 9 KNTT
5 phút giải GDCD 9 KNTT
5 phút giải HĐTN 9 KNTT
Môn học lớp 9 CTST
5 phút giải toán 9 CTST
5 phút soạn bài văn 9 CTST
Văn mẫu 9 chân trời sáng tạo
5 phút giải KHTN 9 CTST
5 phút giải lịch sử 9 CTST
5 phút giải địa lí 9 CTST
5 phút giải hướng nghiệp 9 CTST
5 phút giải lắp mạng điện 9 CTST
5 phút giải cắt may 9 CTST
5 phút giải nông nghiệp 9 CTST
5 phút giải tin học 9 CTST
5 phút giải GDCD 9 CTST
5 phút giải HĐTN 9 bản 1 CTST
5 phút giải HĐTN 9 bản 2 CTST
Môn học lớp 9 cánh diều
5 phút giải toán 9 CD
5 phút soạn bài văn 9 CD
Văn mẫu 9 cánh diều
5 phút giải KHTN 9 CD
5 phút giải lịch sử 9 CD
5 phút giải địa lí 9 CD
5 phút giải hướng nghiệp 9 CD
5 phút giải lắp mạng điện 9 CD
5 phút giải trồng trọt 9 CD
5 phút giải CN thực phẩm 9 CD
5 phút giải tin học 9 CD
5 phút giải GDCD 9 CD
5 phút giải HĐTN 9 CD
Trắc nghiệm 9 Kết nối tri thức
Trắc nghiệm 9 Chân trời sáng tạo
Trắc nghiệm 9 Cánh diều
Tài liệu lớp 9
Văn mẫu lớp 9
Đề thi lên 10 Toán
Đề thi môn Hóa 9
Đề thi môn Địa lớp 9
Đề thi môn vật lí 9
Tập bản đồ địa lí 9
Ôn toán 9 lên 10
Ôn Ngữ văn 9 lên 10
Ôn Tiếng Anh 9 lên 10
Đề thi lên 10 chuyên Toán
Chuyên đề ôn tập Hóa 9
Chuyên đề ôn tập Sử lớp 9
Chuyên đề toán 9
Chuyên đề Địa Lý 9
Phát triển năng lực toán 9 tập 1
Bài tập phát triển năng lực toán 9
Bình luận