Slide bài giảng Hóa học 12 Cánh diều bài 7: Peptide, protein và enzyme
Slide điện tử bài 7: Peptide, protein và enzyme. Trình bày với các hiệu ứng hiện đại, hấp dẫn. Giúp học sinh hứng thú học bài. Học nhanh, nhớ lâu. Có tài liệu này, hiệu quả học tập của môn Hóa học 12 Cánh diều sẽ khác biệt
Bạn chưa đủ điều kiện để xem được slide bài này. => Xem slide bài mẫu
Tóm lược nội dung
BÀI 7: PEPTIDE, PROTEIN VÀ ENZYME
MỞ ĐẦU
Quan sát hình bên và nhận xét về mối quan hệ giữa protein, peptide và các α-amino acid.
Trả lời rút gọn:
Đây là mối quan hệ chuyển hóa lẫn nhau.
I. PEPTIDE
Câu hỏi 1: Quan sát Hình 7.1 và cho biết những nhóm chức nào trong phân tử các α-amino acid đã tham gia hình thành liên kết peptide.
Trả lời rút gọn:
Trong Hình 7.1, hai nhóm chức –COOH và –NH2 cùng tham gia hình thành liên kết peptide.
Luyện tập 1: Viết cấu tạo của các phân tử peptide được hình thành do sự kết hợp của:
- 2 phân tử alanine với nhau.
- 1 phân tử alanine với 2 phân tử glycine.
Trả lời rút gọn:
Cấu tạo các phân tử peptide:
- CH3–CH(NH2)–CO–NH–CH(CH3)–COOH.
- CH3–CH(NH2)–CO–NH–CH2–CO–NH–CH2–COOH.
Thí nghiệm 1: Phản ứng màu biuret của peptide.
Chuẩn bị:
- Hóa chất: Dung dịch lòng trắng trứng, dung dịch NaOH 30%, dung dịch CuSO4 2%, nước cất.
- Dụng cụ: Ống nghiệm, giá ống nghiệm, ống hút nhỏ giọt.
Tiến hành:
- Cho vào ống nghiệm khoảng 1 mL dung dịch NaOH 30%. Thêm tiếp vài giọt dung dịch CuSO4 2%, lắc đều (có thể khuấy bằng đũa thủy tinh).
- Thêm vào ống nghiệm khoảng 3 mL dung dịch lòng trắng trứng, lắc hoặc khuấy đều hỗn hợp.
Yêu cầu: Quan sát màu sắc của dung dịch trong ống nghiệm sau 2 – 3 phút. Mô tả các hiện tượng quan sát được.
Trả lời rút gọn:
Ban đầu trong ống nghiệm xuất hiện kết tủa màu xanh. Sau khi cho dung dịch lòng trắng trứng vào, ta thấy kết tủa tan dần và dung dịch chuyển sang màu vàng tím.
Luyện tập 2: Cho peptide A có công thức cấu tạo Ala-Gly-Val.
- A thuộc loại peptide nào (dipeptide, tripeptide, tetrapeptide)?
- Viết phương trình hóa học của phản ứng thủy phân hoàn toàn peptide A bằng dung dịch NaOH dư.
Trả lời rút gọn:
- A thuộc loại tripeptide.
- Ta có phương trình hóa học:
![]()
II. PROTEIN
Luyện tập 3: Dung dịch thu được sau khi thủy phân hoàn toàn một peptide với kiềm có phản ứng màu biuret không? Vì sao?
Trả lời rút gọn:
Dung dịch không có phản ứng màu biuret vì sản phẩm thu được không chứa peptide dư.
Vận dụng:
- Casein là loại protein chủ yếu có trong sữa.
- Dự đoán casein là loại tan hay không tan trong nước.
- Vì sao uống sữa giúp giảm bớt nguy hiểm khi bị ngộ độc bởi muối chì, muối thủy ngân?
- Tìm hiểu cách làm sữa chua và cho biết yếu tố nào đã tạo nên độ đặc của sữa chua.
- Protein cũng có thể bị đông tụ bởi ethanol. Tìm hiểu và cho biết:
- Vì sao dùng cồn xoa vào tay có thể hạn chế lây nhiễm SARS-CoV-2 qua đường tiếp xúc?
- Tìm hiểu và cho biết vì sao trong y tế thường dùng cồn 70o để sát khuẩn mà không dùng cồn 90o.
Trả lời rút gọn:
- Casein không hoàn toàn tan trong nước.
- Do trong sữa có chứa casein sẽ phản ứng với các kim loại nặng tạo kết tủa như chì, thủy ngân... Do đó việc uống sữa khi bị ngộ độc bởi những loại kim loại trên là hợp lý.
- Muốn làm sữa chua, ta cần thực hiện thứ tự các bước sau:
Bước 1: Chuẩn bị nguyên liệu
Bước 2: Sơ chế sữa
Bước 3: Chế biến sữa chua
Bước 4: Ủ ấm sữa chua
Bước 5: Ủ lạnh và thưởng thức
Trong đó, acid lactic là yếu tố làm nên độ đặc của sữa chua.
- Do ethanol có trong cồn có thể khiến cho protein trong vi khuẩn bị đông tụ, khiến cho việc tiếp xúc với vi khuẩn bị hạn chế.
- Cồn 70o có nồng độ lý tưởng để sát khuẩn, trong khi cồn 90o có nồng độ cao có thể khiến cho cơ thể bị bỏng rát.
Thí nghiệm 2: Sự đông tụ protein.
Chuẩn bị:
- Hóa chất: Protein (dung dịch lòng trắng trứng).
- Dụng cụ: Ống nghiệm, đèn cồn, ống hút nhỏ giọt.
Tiến hành: Cho vào ống nghiệm 2 – 3 mL dung dịch lòng trắng trứng, đun trên đèn cồn trong khoảng 1 phút.
Yêu cầu: Quan sát và mô tả hiện tượng xảy ra trong ống nghiệm.
Trả lời rút gọn:
Sau khi đun nóng, ta thấy dung dịch lòng trắng trứng trong ống nghiệm bị đông tụ.
Vận dụng 3: Tìm hiểu cách làm nước mắm và cho biết yếu tố nào đã được sử dụng để thực hiện quá trình chuyển hóa protein có trong thịt cá thành các amino acid.
Trả lời rút gọn:
Các bước làm nước mắm:
Bước 1: Sơ chế cá
Bước 2: Ướp cá
Bước 3: Lọc mắm
Enzyme có trong thịt cá là chất thực hiện quá trình chuyển hóa protein thành các amino acid.
Thí nghiệm 3: Phản ứng tạo màu của protein với nitric acid.
Chuẩn bị:
- Hóa chất: Dung dịch lòng trắng trứng, dung dịch HNO3 đặc.
- Dụng cụ: Ống nghiệm, ống hút nhỏ giọt.
Tiến hành:
- Cho vào ống nghiệm khoảng 1,0 mL dung dịch lòng trắng trứng và khoảng 1 mL dung dịch HNO3 đặc.
- Lắc đều hỗn hợp, sau đó để yên ống nghiệm trong khoảng 1 – 2 phút.
Yêu cầu: Quan sát và mô tả các hiện tượng xảy ra trong ống nghiệm trước và sau khi đun nóng.
Chú ý an toàn: Cẩn thận khi làm việc với HNO3 đặc.
Trả lời rút gọn:
Sau khi đun nóng, trong ống nghiệm xuất hiện kết tủa màu vàng.
Câu hỏi 2: Cho biết ưu điểm của xúc tác enzyme so với xúc tác hóa học.
Trả lời rút gọn:
Ưu điểm của enzyme so với các chất xúc tác hóa học là khả năng hoạt động mạnh ở áp suất thường, nhiệt độ 20 đến 700C và vùng pH từ 1-12.
Câu hỏi 3: Bromelain papain là những enzyme có tác dụng thủy phân protein. Bromelain có nhiều trong quả dứa (thơm) còn papain có nhiều trong quả đu đủ. Giải thích vì sao thịt được ướp với nước ép dứa hoặc đu đủ thì khi nấu sẽ nhanh mềm hơn.
Trả lời rút gọn:
Do enzyme có nhiều trong quả dứa và quả đu đủ có tác dụng phân giải protein có trong thịt nên khiến cho thịt khi nấu cùng sẽ nhanh mềm hơn.
BÀI TẬP
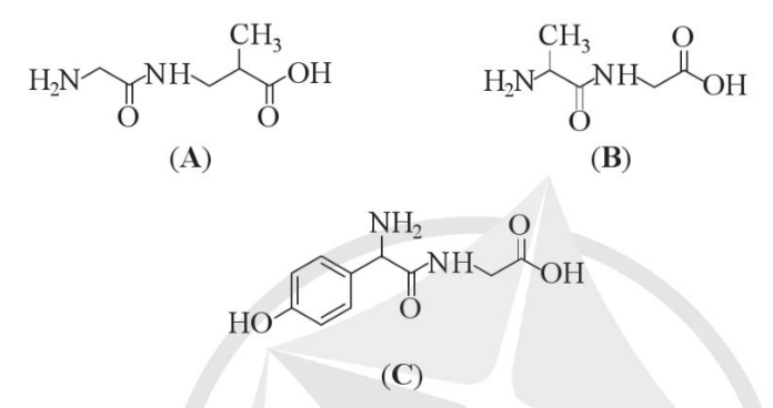
Bài 1: Phân tử chất nào dưới đây không chứa liên kết peptide? Giải thích.
Trả lời rút gọn:

Phân tử của (B) và (C) chứa liên kết peptide do được tạo từ các α-amino acid, trong khi phân tử của (A) không chứa liên kết peptide do một α-amino acid liên kết với một β-amino acid.
Bài 2: Viết công thức cấu tạo của các phân tử dipeptide mạch hở, trong đó, thành phần bao gồm cả hai loại đơn vị cấu tạo là glycine và alanine.
Trả lời rút gọn:
Có hai dipeptide được hình thành từ glycine và alanine, đó là:
- Gly–Ala: H2N–CH2–CO–NH–CH(CH3)–COOH
- Ala–Gly: H2N–CH(CH3)–CO–NH– CH2–COOH
Bài 3: Thủy phân một tripeptide thu được 3 amino acid là Ala, Gly và Val. Cho biết cấu tạo có thể có của tripeptide đem thủy phân ở trên.
Trả lời rút gọn:
Tripeptide trên có thể có những cấu tạo như:
Ala–Gly–Val, Ala–Val–Gly, Gly–Ala–Val, Gly–Val–Ala, Val–Gly–Ala,
Val–Ala–Gly.
Bài 4*: Thành phần tạo nên vị ngọt đặc trưng của nước mắm (được sản xuất từ cá) và nước tương (được sản xuất từ đậu nành) là các amino acid tạo thành từ sự thủy phân hoàn toàn của protein có trong cá hoặc đậu nành. Tìm hiểu và cho biết độ đạm của nước tương, nước mắm tương ứng với thành phần nào có trong nước tương, nước mắm. Độ đạm có tỉ lệ thuận với hàm lượng amino acid có trong nước tương, nước mắm không? Giải thích.
Trả lời rút gọn:
- Độ đạm tương ứng với hàm lượng nitrogen có trong nước mắm, nước tương.
- Độ đạm có tỉ lệ thuận với hàm lượng amino acid có trong nước mắm, nước tương. Vì hàm lượng nitrogen quyết định đến độ đạm trong khi nitrogen có trong thành phần của amino acid.
