Slide bài giảng Hóa học 12 Cánh diều bài 5: Amine
Slide điện tử bài 5: Amine. Trình bày với các hiệu ứng hiện đại, hấp dẫn. Giúp học sinh hứng thú học bài. Học nhanh, nhớ lâu. Có tài liệu này, hiệu quả học tập của môn Hóa học 12 Cánh diều sẽ khác biệt
Bạn chưa đủ điều kiện để xem được slide bài này. => Xem slide bài mẫu
Tóm lược nội dung
BÀI 5: AMINE
MỞ ĐẦU

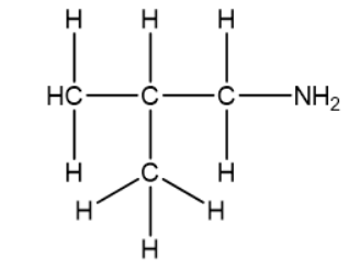
Từ công thức cấu tạo của ammonia và một số amine ở Hình 5.1, hãy:
- Cho biết đặc điểm cấu tạo của amine.
- Giải thích vì sao amine thường có tính base tương tự ammonia.
Trả lời rút gọn:
- Amine được tạo thành khi thay một hay nhiều hydrogen trong phân tử ammonia thành các gốc hydrocarbon.
- Do các nitrogen trong phân tử amine còn 1 cặp electron tự do gây tính base giống như ammonia.
I. KHÁI NIỆM, PHÂN LOẠI VÀ DANH PHÁP
Câu hỏi 1: Dựa vào Hình 5.2c, 5.2d, hãy mô tả đặc điểm cấu tạo phân tử, hình dạng phân tử của methylamine và aniline.
Trả lời rút gọn:
- Methylamine (CH3NH2) là một amine bậc nhất, được cấu tạo từ một nhóm amine (NH2) gắn trực tiếp vào một nhóm metyl (CH3). Hình dạng phân tử của methylamine là một hình chóp tam giác.
- Aniline (C6H5NH2) là một amine được cấu tạo từ một nhóm amine (NH2) gắn trực tiếp vào một vòng benzene (C6H5). Hình dạng phân tử của aniline là hình tháp nông.
Câu hỏi 2: Xác định bậc của mỗi amine dưới đây và cho biết đó là alkylamine hay arylamine.

Trả lời rút gọn:
- Chất này là amine bậc một và là alkylamine do trong phân tử không bao gồm vòng benzene.
- Chất này là amine bậc hai và là arylamine do trong phân tử có chứa vòng benzene.
Luyện tập 1: Viết công thức cấu tạo của các amine mạch hở có công thức phân tử C4H11N.
- Trong các amine trên, amine nào là amine bậc một, bậc hai, bậc ba?
- Gọi tên các amine trên theo danh pháp thay thế.
Trả lời rút gọn:
Ứng với amine có công thức phân tử là C4H11N, ta có:
- Đồng phân amine bậc một:
Danh pháp thay thế: Butan-1-amine.
Danh pháp thay thế: 2-metylpropan-1-amine.
Danh pháp thay thế: Butan-2-amine.
Danh pháp thay thế: 2-methylpropan-2-amine.
- Đồng phân amine bậc hai:
Danh pháp thay thế: N-methylpropan-1-amine.
Danh pháp thay thế: N-methylpropan-2-amine.
Danh pháp thay thế: Dimethylamine.
- Đồng phân amine bậc ba:
Danh pháp thay thế: N,N-dimethylethalamine.
II. TÍNH CHẤT VẬT LÍ
Câu hỏi 3: Biểu diễn liên kết hydrogen giữa các phân tử ethylamine với nhau và với nước.
Trả lời rút gọn:
- Liên kết hydrogen giữa các phân tử ethylamine với nhau:

- Liên kết hydrogen giữa các phân tử ethylamine với nước:

III. TÍNH CHẤT HÓA HỌC
Thí nghiệm 1: Tính base của amine.
Chuẩn bị:
- Hóa chất: Dung dịch ethylamine 5%, dung dịch HCl đặc, dung dịch CuSO4 5%, dung dịch FeCl3 3%, giấy quỳ tím.
- Dụng cụ: Ống nghiệm, đũa thủy tinh, ống hút nhỏ giọt.
Tiến hành:
- Cho vào ống nghiệm (1) khoảng 1 mL dung dịch ethylamine 5%. Lấy đũa thủy tinh nhúng vào dung dịch rồi chấm vào giấy quỳ tím. Nhúng đũa thủy tinh sạch vào dung dịch HCl đặc rồi đưa đầu đũa thủy tinh vào miệng ống nghiệm (1).
- Cho vào ống nghiệm (2) 5 giọt dung dịch FeCl3 3%. Vừa lắc vừa thêm từ từ đến hết 2 mL dung dịch ethylamine 5%.
- Cho vào ống nghiệm (3) 5 giọt dung dịch CuSO4 5%. Vừa lắc vừa thêm từ từ đến hết 4 mL dung dịch ethylamine 5%.
Yêu cầu: Quan sát, mô tả các hiện tượng và giải thích.
Chú ý an toàn: Ethylamine độc, có mùi khó chịu, cần tiến hành thí nghiệm ở nơi thoáng khí hoặc trong tủ hút.
Trả lời rút gọn:
- Trong ống nghiệm (1), ta thấy xuất hiện khói trắng.
![]()
- Trong ống nghiệm (2), ta thấy xuất hiện kết tủa màu nâu đỏ.
![]()
- Trong ống nghiệm (3), ta thấy xuất hiện kết tủa màu xanh lam, sau đó kết tủa bị hòa tan và dung dịch trong ống nghiệm có màu xanh.
![]()
![]()
Luyện tập 2: Giải thích vì sao aniline kém tan trong nước nhưng tan nhiều trong dung dịch hydrocloric acid.
Trả lời rút gọn:
Do gốc C6H5– có tương tác hút electron mạnh làm giảm mật độ electron của nguyên tử N trong aniline làm giảm khả năng tạo liên kết hydrogen với H2O nên độ tan trong nước của aniline bị giảm. Tuy nhiên khi aniline tác dụng với dung dịch hydrocloric acid sẽ cho ra sản phẩm là muối dễ tan, điều đó khiến cho phản ứng này có thể xảy ra.
Vận dụng: Mùi tanh của cá gây ra bởi hỗn hợp của các amine. Hãy đề xuất phương pháp đơn giản có thể làm giảm bớt mùi tanh của cá khi chế biến các món ăn.
Trả lời rút gọn:
Ta có thể cắt quả chanh rồi chà xát lên cá. Do trong cá có chứa các amine tanh có tính base, việc sử dụng chanh là để các acid có trong chanh có thể tạo muối với amin, những muối này dễ tan trong nước, do vậy cá sẽ không còn mùi tanh nữa.
Thí nghiệm 2: Phản ứng bromine hóa aniline
Chuẩn bị:
- Hóa chất: Dung dịch aniline, nước bromine bão hòa.
- Dụng cụ: Ống nghiệm, ống hút nhỏ giọt.
Tiến hành: Cho vào ống nghiệm 1 mL dung dịch aniline. Thêm tiếp từ từ 0,5 – 1 mL nước bromine, vừa thêm vừa lắc.
Yêu cầu: Quan sát và mô tả hiện tượng xảy ra và giải thích.
Trả lời rút gọn:
Sau khi phản ứng kết thúc, ta thấy dung dịch màu vàng ban đầu dần mất màu, đồng thời xuất hiện kết tủa trắng do nước bromine đã phản ứng để tạo thành dung dịch khác nên bị mất màu.
![]()
Luyện tập 3: Đề xuất hóa chất và phương pháp để phân biệt hai chất lỏng toluene và aniline.
Trả lời rút gọn:
Để phân biệt toluene và aniline, ta có thể sử dụng thuốc tím (KMnO4) bằng phương pháp đun nóng, do toluene có thể tác dụng với thuốc tím để tạo ra kết tủa màu đen, trong khi aniline không phản ứng.
![]()
IV. ỨNG DỤNG VÀ ĐIỀU CHẾ
Câu hỏi 4: Nêu ứng dụng của amine trong đời sống và sản xuất.
Trả lời rút gọn:
Ứng dụng của amine trong đời sống và sản xuất:
- Được sử dụng trong việc sản xuất các loại thuốc và dược phẩm.
- Được sử dụng để chế tạo thuốc trừ sâu.
- Được dùng nhiều trong công nghiệp, chất dẻo, phẩm màu...
- Tổng hợp các chất dinh dưỡng được tiêu hóa vào trong cơ thể thành vitamin.
- Có tác dụng như một loại thuốc an thần trong y học.
BÀI TẬP
Bài 1: Cho các chất có công thức cấu tạo sau:

Trong các chất trên, hãy cho biết:
Chất nào là amine. b) Chất nào thuộc loại arylamine
Trả lời rút gọn:
- Các chất là amine: (1), (2), (4).
- Các chất là arylamine: (2).
Bài 2: Phát biểu nào dưới đây không đúng?
- Phân tử ethylamine chứa nhóm chức –NH2.
- Ethylamine tan tốt trong nước.
- Ethylamine tác dụng với nitrous acid thu được muối diazonium.
- Dung dịch ethylamine trong nước làm quỳ tím hóa xanh.
Trả lời rút gọn:
Phát biểu không đúng là C.

- Naftifine thuộc loại amine bậc ba do có ba gốc hydrocarbon liên kết trực tiếp với nguyên tố N.
- Tuy trong phân tử naftifine có vòng benzene nhưng naftifine không thuộc loại arylamine vì vòng benzene trong naftifine không được liên kết trực tiếp với nguyên tố N có trong phân tử.
- Ta có phương trình hóa học:
![]()
![]()
Bài 4: Cho chuỗi chuyển hóa sau:

Cho biết công thức cấu tạo của các chất X, Y, Z trong chuỗi chuyển hóa trên và viết các phương trình hóa học thực hiện chuỗi chuyển hóa.
Trả lời rút gọn:
X: 
Y: 
Z: 
Các phương trình hóa học có trong chuỗi chuyển hóa:
![]()
![]()
![]()







