Giải chi tiết bài 2 trang 113 toán 5 tập 2 kntt
Giải chi tiết bài 2 trang 113 toán 5 tập 2 kntt
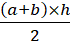
a) Hoàn thành công thức tính diện tích hình tam giác, hình thang.

b) Số ?
Có một mảnh đất dạng hình thang với kích thước như hình bên:

Diện tích mảnh đất hình tam giác ACD là ? m².
Diện tích mảnh đất hình thang ABCD là ? m
a) Công thức tính diện tích hình tam giác, hình thang:
S =
S = ![]()
b) Diện tích mảnh đất hình tam giác ACD là 1250 m².
Diện tích mảnh đất hình thang ABCD là 1000 m
Xem toàn bộ: Giải Toán 5 Kết nối bài 71: Ôn tập hình học
Bình luận