Câu hỏi tự luận mức độ vận dụng Toán 5 kntt bài 7: Hỗn số
3. VẬN DỤNG (3 câu)
Câu 1: Một mảnh đất hình chữ nhật có chiều dài
m, chiều rộng
m. Người ta chia mảnh đất đó thành ba lô đất bằng nhau. Tính diện tích của mỗi lô đất.
Câu 2: Một tấm bìa hình chữ nhật có chiều rộng
m, chiều dài hơn chiều rộng
m.
a) Tính chu vi và diện tích của tấm bìa đó.
b) Người ta đã dùng hết
tấm bìa đó để đóng hộp. Hỏi diện tích phần còn lại là bao nhiêu mét vuông?
Câu 3: Năm 2010, Giáo sư Ngô Bảo Châu đoạt được giải thưởng toán học cao quý nhất thế giới.

Em hãy viết tên giải thưởng đó bằng cách thực hiện các yêu cầu sau:
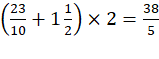
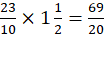
a) Viết kết quả thích hợp của các phép tính vào chỗ chấm:
S: | E: |
| L: | F: |
| I: | D: |
b) Viết các chữ tương ứng với các số tìm được vào ô sau:

Câu 1:
Diện tích mảnh đất là:
(m2)
Diện tích của mỗi lô đất là:
297 : 3 = 99 (m2)
Đáp số: 99 m2
Câu 2:
a) Chiều dài của tấm bìa hình chữ nhật là:
(m)
Chu vi tấm bìa là:
(m)
Diện tích tấm bìa là:
(m2)
b) Phần diện tích còn lại chiếm số phần diện tích tấm bìa là:
(diện tích tấm bìa)
Diện tích còn lại của tấm bìa là:
(m2)
Đáp số: a) Chu vi:
m
Diện tích:
m2
b)
m2
Câu 3:
a)
S: | E: |
| L: | F: |
| I: | D: |
b)

Xem toàn bộ: Câu hỏi tự luận Toán 5 Kết nối bài 7: Hỗn số
Bình luận