Câu hỏi tự luận mức độ vận dụng Toán 5 cd bài 13: Số thập phân

3. VẬN DỤNG (5 câu)

Câu 1: Một người chạy bộ 3,75 km trong 0,5 giờ, sau đó nghỉ 0,25 giờ và tiếp tục chạy thêm 2,5 km trong 0,5 giờ. Tính vận tốc trung bình của cả quá trình. 

Câu 2. Viết kết quả phép tính dưới dạng số thập phân:

3. VẬN DỤNG (5 câu)            

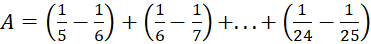
Câu 3. Viết kết quả phép tính dưới dạng số thập phân :

3. VẬN DỤNG (5 câu)

Câu 4. Một người đi mua hàng, giá của 3 sản phẩm lần lượt là 12,5; 20,75 và 8,6 nghìn đồng. Người đó mang theo 50 nghìn đồng.

Hỏi người đó có đủ tiền mua cả 3 sản phẩm không?

Nếu không đủ, người đó cần thêm bao nhiêu tiền?

Câu 5: Một nhà máy sản xuất được 4,75 sản phẩm trong 1 giờ. Hỏi trong 8,5 giờ nhà máy sản xuất được bao nhiêu sản phẩm? Nếu số sản phẩm trên được chia đều cho 5 kho, mỗi kho chứa bao nhiêu sản phẩm?


Câu 1: 

Tổng quãng đường đi được là:

3,75 + 2,5 = 6,25 (km)

Tổng thời gian đi được là:

0,5 + 0,25 + 0,5 = 1,25 (giờ)

Vận tốc trung bình là:

6,25 : 1,25 = 5 (km/giờ)

Đáp số: 5 km/giờ

Câu 2: 

Tech12h

 Tech12h

Tech12h

Vậy  Tech12h.

Câu 3: 

Tech12h

Tech12h

Tech12h

 Tech12h

Câu 4: 

Tổng số tiền mua ba sản phẩm là:

12,5 + 20,75 + 8,6 = 41,85 (nghìn đồng) < 50 nghìn đồng

=> Người đó có đủ tiền mua cả 3 sản phẩm.

Câu 5: 

Tổng số sản phẩm trong kho là:

4,75 x 8,5 = 40,375 (Sản phẩm)

Số sản phẩm trong mỗi kho là:

40,375 : 5 = 8,075 (Sản phẩm)

Đáp án: 8,075 Sản phẩm


Bình luận

Giải bài tập những môn khác