Câu hỏi tự luận mức độ thông hiểu Toán 5 ctst
2. THÔNG HIỂU ( 4 câu)
Câu 1: Điền >;<; = thích hợp vào chỗ chấm:
a) | b) |
c) | d) |
e) | g) |
Câu 2: Viết các phân số thập phân thích hợp vào chỗ chấm (theo mẫu):
![]()
a)
= ............
d)
= ............
b)
= ..........
e) 6kg = .........tạ
c)
= .........
f) 37kg = ........ tấn
Câu 3: Chuyển các phân số thập phân sau thành phân số thập phân có mẫu số là 100:
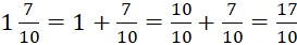
Câu 4: Viết các hỗn số sau ở dạng phân số thập phân (theo mẫu)
Mẫu: 
a) | b) | c) |
d) | e) | g) |
Câu 1:
a) | b) |
c) | d) |
e) | g) |
Câu 2:
a)
=
d)
=
b)
=
e) 6kg =
tạ
c)
=
f) 37kg =
tấn
Câu 3:
a)
b) ![]()
c)
d) ![]()
Câu 4:
| a) |
| b) |
| c) |
| d) |
| e) |
| g) |
Bình luận